1. 원통 좌표계에서 전류밀도 j=Kr2az[A/m2]일 때 암페어의 법칙을 사용한 자계의 세기 H[AT/m]는? (단, K는 상수이다.)

2. 최대 정전용량 C0[F]인 그림과 같은 콘덴서의 정전용량이 각도에 비례하여 변화한다고 한다. 이 콘덴서를 전압 V[V]로 충전하였을 때 회전자에 작용하는 토크는?

3. 내부도체 반지름이 10mm, 외부도체의 내반지름이 20mm인 동축케이블에서 내부도체 표면에 전류 I가 흐르고, 얇은 외부도체에 반대 방향인 전류가 흐를 때 단위 길이당 외부 인덕턴스는 약 몇 H/m인가?
① 0.27×10-7 ② 1.39×10-7
③ 2.03×10-7 ④ 2.78×10-7
4. 무한 평면에 일정한 전류가 표면에 한 방향으로 흐르고 있다. 평면으로부터 r만큼 떨어진 점과 2r만큼 떨어진 점과의 자계의 비는 얼마인가?
① 1 ② √2
③ 2 ④ 4
5. 어떤 공간의 비유전율은 2이고, 전위

이라고 할 때 점 (1/2,2)에서의 전하밀도 p는 약 몇 pC/m3인가?
① -20 ② -40
③ -160 ④ -320
6. 그림과 같은 히스테리시스 루프를 가진 철심이 강한 평등자계에 의해 매초 60Hz로 자화할 경우 히스테리시스 손실은 몇 W인가? (단, 철심의 체적은 20cm3,Bt=5Wb/m2, HC=2AT/m이다.)

① 1.2×10-2 ② 2.4×10-2
③ 3.6×10-2 ④ 4.8×10-2
7. 그림과 같이 직각 코일이

인 자계에 위치하고 있다. 코일에 5A 전류가 흐를 때 z축에서의 토크는 약 몇 N ㆍ m 인가?

① 2.66×10-4ax ② 5.66×10-4ax
③ 2.66×10-4az ④ 5.66×10-4az
8. 그림과 같이 무한평면 도체 앞 a[m] 거리에 점전하 Q[C]가 있다. 점 0에서 x[m]인 P점의 전하밀도 σ[C/m2]는?

9. 유전율 ℇ=8.855×10-12[F/m]인 진공 중을 전자파가 전파할 때 진공 중의 투자율[H/m]은?
① 7.58×10-5 ② 7.58×10-7
③ 12.56×10-5 ④ 12.56×10-7
10. 막대자석 위쪽에 동축 도체 원판을 놓고 회로의 한 끝은 원판의 주변에 접촉시켜 회전하도록 해 놓은 그림과 같은 패러데이 원판 실험을 할 때 검류계에 전류가 흐르지 않는 경우는?

① 자석만을 일정한 방향으로 회전시킬 때
② 원판만을 일정한 방향으로 회전시킬 때
③ 자석을 축 방향으로 전진시킨 후 후퇴시킬 때
④ 원판과 자석을 동시에 같은 방향, 같은 속도로 회전시킬 때
11. 점전하에 의한 전계의 세기[V/m]를 나타내는 식은? (단, r은 거리, Q는 전하량, λ는 선전하 밀도, σ는 표면전하 밀도이다.)

12. 유전율 ℇ, 투자율 μ인 매질에서의 전파속도 v는?

13. 전계 E[V/m], 전속밀도 D[C/m2], 유전율 ℇ=ℇ0ℇS[F/m], 분극의 세기 P[C/m2] 사이의 관계는?
① P=D+ℇ0E ② P=D-ℇ0E
③ P=D-E/ℇ0 ④ P=D+E/ℇ0
14. 서로 결합하고 있는 두 코일 C1과 C2의 자기인덕턴스가 각각 LC1, LC2라고 한다. 이 둘을 직렬로 연결하여 합성인덕턴스 값을 얻은 후 두 코일간 상호인덕턴스의 크기(M)를 얻고자 한다. 직렬로 연결할 때, 두 코일간 자속이 서로 가해져서 보강되는 방향의 합성인덕턴스의 값이 L1 서로 상쇄되는 방향의 합성 인덕턴스의 값이 l2일 때, 다음 중 알맞은 식은?

15. 정전용량이 C0[F]인 평행판 공기 콘덴서가 있다. 이것의 극판에 평행으로 판간격 d[m]의 1/2 두께인 유리판을 삽입하였을때의 정전용량[F]은? (단, 유리판의 유전율은 ℇ[F/m]이라 한다.)

16. 벡터 포텐샬

일 때의 자계의 세기 H[A/m]는? (단, μ는 투자율이라 한다.)

17. 자기회로에서 자기 저항의 관계로 옳은 것은?
① 자기회로의 길이에 비례
② 자기회로의 단면적에 비례
③ 자성체의 비투자율에 비례
④ 자성체의 비투자율의 제곱에 비례
18. 그림과 같은 길이가 1m인 동축 원통 사이의 정전용량[F/m]]은?

19. 철심이 든 환상 솔레노이드의 권수는 500회, 평균 반지름은 10㎝, 철심의 단면적은 10cm2, 비투자율 4000이다. 이 환상 솔레노이드에 2A의 전류를 흘릴 때, 철심 내의 자속[Wb]은?
① 4×10-3 ② 4×10-4
③ 8×10-3 ④ 8×10-4
20. 그림과 같은 정방형관 단면의 격자점 ⑥의 전위를 반복법으로 구하면 약 몇 V 인가?

① 6.3 ② 9.4
③ 18.8 ④ 53.2
|
2과목 : 전력공학 |
21. 동기조상기[A]와 전력용 콘덴서[B]를 비교한 것으로 옳은 것은?
① 시충전 : (A) 불가능, (B) 가능
② 전력 손실 : (A) 작다, (B) 크다
③ 무효전력 조정 : (A) 계단적, (B) 연속적
④ 무효전력 : (A) 진상·지상용, (B) 진상용
22. 어떤 공장의 소모 전력이 100kW이며, 이 부하의 역률이 0.6일 때, 역률을 0.9로 개선하기 위한 전력용 콘덴서의 용량은 약 몇 kVA인가?
① 75 ② 80
③ 85 ④ 90
23. 수력 발전소에서 사용되는 수차 중 15m 이하의 저낙차에 적합하여 조력 발전용으로 알맞은 수차는?
① 카플란 수차 ② 펠톤 수차
③ 프란시스 수차 ④ 튜블러 수차
24. 어떤 화력발전소에서 과열기 출구의 증기압이 169kg/cm2]이다. 이것은 약 몇 atm 인가?
① 127.1 ② 163.6
③ 1650 ④ 12850
25. 가공 송전선로를 가선할 때에는 하중 조건과 온도 조건을 고려하여 적당한 이도(dip)를 주도록 하여야 한다. 이도에 대한 설명으로 옳은 것은?
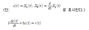
① 이도의 대소는 지지물의 높이를 좌우한다.
② 전선을 가선할 때 전선을 팽팽하게 하는 것을 이도가 크다고 한다.
③ 이도가 작으면 전선이 좌우로 크게 흔들려서 다른 상의 전선에 접촉하여 위험하게 된다.
④ 이도가 작으면 이에 비례하여 전선의 장력이 증가되며, 너무 작으면 전선 상호간이 꼬이게 된다.
26. 승압기에 의하여 전압 Ve에서 Vh로 승압할 때, 2차 정격전압 e, 자기용량 W인 단상 승압기가 공급할 수 있는 부하 용량은?

27. 일반적으로 부하의 역률을 저하시키는 원인은?
① 전등의 과부하
② 선로의 충전전류
③ 유도 전동기의 경부하 운전
④ 동기 전동기의 중부하 운전
28. 송전단 전압을 VS, 수전단 전압을 Vt, 선로의 리액턴스를 X라 할 때, 정상 시의 최대 송전전력의 개략적인 값은?

29. 가공지선의 설치 목적이 아닌 것은?
① 전압 강하의 방지
② 직격뢰에 대한 차폐
③ 유도뢰에 대한 정전차폐
④ 통신선에 대한 전자유도 장해 경감
30. 피뢰기가 방전을 개시할 때의 단자 전압의 순시값을 방전 개시 전압이라 한다. 방전 중의 단자 전압의 파고값을 무엇이라 하는가?
① 속류 ② 제한 전압
③ 기준충격 절연강도 ④ 상용주파 허용 단자 전압
31. 송전 계통의 한 부분이 그림과 같이 3상 변압기로 1차측은 △로, 2차측은 Y로 중성점이 접지되어 있을 경우, 1차측에 흐르는 영상전류는?

① 1차측 선로에서 ∞이다.
② 1차측 선로에서 반드시 0이다.
③ 1차측 변압기 내부에서는 반드시 0이다.
④ 1차측 변압기 내부와 1차측 선로에서 반드시 0이다.
32. 배전선로에 관한 설명으로 틀린 것은?
① 밸런서는 단상 2선식에 필요하다.
② 저압 뱅킹 방식은 전압 변동을 경감할 수 있다.
③ 배전선로의 부하율이 F일 때 손실계수는 F와 F2의 사이의 값이다.
④ 수용률이란 최대수용전력을 설비 용량으로 나눈 값을 퍼센트로 나타낸다.
33. 수차 발전기에 제동권선을 설치하는 주된 목적은?
① 정지시간 단축 ② 회전력의 증가
③ 과부하 내량의 증대 ④ 발전기의 안정도 증진
34. 3상 3선식 가공전선로에서 한 선의 저항은 15Ω, 리액턴스는 20Ω이고, 수전단 선간전압은 30kV, 부하역률은 0.8(뒤짐)이다. 전압강하율을 10%라 하면, 이 송전선로는 몇 kW까지 수전할 수 있는가?
① 2500 ② 3000
③ 3500 ④ 4000
35. 송전선로에서 사용하는 변압기 결선에 △결선이 포함되어 있는 이유는?
① 직류분의 제거 ② 제 3고조파의 제거
③ 제 5고조파의 제거 ④ 제 7고조파의 제거
36. 교류 송전 방식과 비교하여 직류 송전 방식의 설명이 아닌 것은?
① 전압 변동률이 양호하고 무효전력에 기인하는 전력 손실이 생기지 않는다.
② 안정도의 한계가 없으므로 송전용량을 높일 수 있다.
③ 전력 변환기에서 고조파가 발생한다.
④ 고전압, 대전류의 차단이 용이하다.
37. 전압 66000V, 주파수 60Hz, 길이 15km, 심선 1선당 작용 정전용량 0.3587㎌/㎞인 한 선당 지중 전선로의 3상 무부하 충전전류는 약 몇 A인가? (단, 정전용량 이외의 선로정수는 무시한다.)
① 62.5 ② 68.2
③ 73.6 ④ 77.3
38. 전력계통에서 사용되고 있는 GCB(Gas Circuit Breaker)용 가스는?
① N2가스 ② SF6가스
③ 알곤 가스 ④ 네온 가스
39. 차단기와 아크 소호원리가 바르지 않은 것은?
① OCB : 절연유에 분해 가스 흡부력 이용
② VCB : 공기 중 냉각에 의한 아크 소호
③ ABB : 압축 공기를 아크에 불어 넣어서 차단
④ MBB : 전자력을 이용하여 아크를 소호실내로 유도하여 냉각
40. 네트워크 배전 방식의 설명으로 옳지 않은 것은?
① 전압 변동이 적다. ② 배전 신뢰도가 높다.
③ 전력손실이 감소한다. ④ 인축의 접촉사고가 적어진다.
|
3과목 : 전기기기 |
41. 정류회로에 사용되는 환류다이오드(free wheeling diode)에 대한 설명으로 틀린 것은?
① 순저항 부하의 경우 불필요하게 된다.
② 유도성 부하의 경우 불필요하게 된다.
③ 환류 다이오드 동작 시 부하출력 전압은 약 0V가 된다.
④ 유도성 부하의 경우 부하전류의 평활화에 유용하다.
42. 3상 변압기를 병렬운전하는 경우 불가능한 조합은?
① △-Y 와 Y-△ ② △-△ 와 Y-Y
③ △-Y 와 △-Y ④ △-Y 와 △-△
43. 3상 직권 정류자 전동기에 중간(직렬)변압기가 쓰이고 있는 이유가 아닌 것은?
① 정류자 전압의 조정
② 회전자 상수의 감소
③ 실효 권수비 선정 조정
④ 경부하 때 속도의 이상 상승 방지
44. 직류 분권 전동기를 무부하로 운전 중 계자 회로에 단선이 생긴 경우 발생하는 현상으로 옳은 것은?
① 역전한다.
② 즉시 정지한다.
③ 과속도로 되어 위험하다.
④ 무부하이므로 서서히 정지한다.
45. 변압기에 있어서 부하와는 관계없이 자속만을 발생시키는 전류는?
① 1차 전류 ② 자화 전류
③ 여자 전류 ④ 철손 전류
46. 직류 전동기의 규약 효율을 나타낸 식으로 옳은 것은?

47. 직류 전동기에서 정속도 전동기라고 볼 수 있는 전동기는?
① 직권 전동기 ② 타여자 전동기
③ 화동 복권 전동기 ④ 차동 복권 전동기
48. 단상 유도전동기의 기동 방법 중 기동 토크가 가장 큰 것은?
① 반발 기동형 ② 분상 기동형
③ 세이딩 코일형 ④ 콘덴서 분상 기동형
49. 부흐홀츠 계전기에 대한 설명으로 틀린 것은?
① 오동작의 가능성이 많다.
② 전기적 신호로 동작한다.
③ 변압기의 보호에 사용된다.
④ 변압기의 주탱크와 콘서베이터를 연결하는 관중에 설치한다.
50. 직류기에서 정류코일의 자기 인덕턴스를 L이라 할 때 정류코일의 전류가 정류주기 TC 사이에 IC에서 -IC로 변한다면 정류 코일의 리액턴스 전압[V]의 평균값은?

51. 일반적인 전동기에 비하여 리니어 전동기의 장점이 아닌 것은?
① 구조가 간단하여 신뢰성이 높다.
② 마찰을 거치지 않고 추진력이 얻어진다.
③ 원심력에 의한 가속제한이 없고 고속을 쉽게 얻을 수 있다.
④ 기어, 벨트 등 동력 변환기구가 필요 없고 직접 원운동이 얻어진다.
52. 직류를 다른 전압의 직류로 변환하는 전력변환 기기는?
① 초퍼 ② 인버터
③ 사이클로 컨버터 ④ 브리지형 인버터
53. 와전류 손실을 패러데이 법칙으로 설명한 과정 중 틀린 것은?
① 와전류가 철심으로 흘러 발열
② 유기전압 발생으로 철심에 와전류가 흐름
③ 시변 자속으로 강자성체 철심에 유기전압 발생
④ 와전류 에너지 손실량은 전류 경로 크기에 반비례
54. 주파수가 정격보다 3% 감소하고 동시에 전압이 정격보다 3% 상승된 전원에서 운전되는 변압기가 있다. 철손이 에 비례한다면 이 변압기 철손은 정격 상태에 비하여 어떻게 달라지는가? (단, f : 주파수, Bm : 자속밀도 최대치이다.)
① 약 8.7% 증가 ② 약 8.7% 감소
③ 약 9.4% 증가 ④ 약 9.4% 감소
55. 교류정류자기에서 갭의 자속분포가 정현파로 øm=0.14Wb, P=2, a=1, Z=200, n=1200rpm인 경우 브러시 축이 자극축과 30°라면, 속도 기전력의 실효값 ES는 약 몇 V인가?
① 160 ② 400
③ 560 ④ 800
56. 역률 0.85의 부하 350kW에 50kW를 소비하는 동기 전동기를 병렬로 접속하여 합성 부하의 역률을 0.95로 개선하려면 진상 무효 전력은 약 몇 kVar인가?
① 68 ② 72
③ 80 ④ 85
57. 변압기의 무부하시험, 단락시험에서 구할 수 없는 것은?
① 철손 ② 동손
③ 절연 내력 ④ 전압 변동률
58. 3상 동기 발전기의 단락곡선이 직선으로 되는 이유는?
① 전기자 반작용으로 ② 무부하 상태이므로
③ 자기 포화가 있으므로 ④ 누설 리액턴스가 크므로
59. 정격출력 5000kVA, 정격전압 3.3kV, 동기 임피던스가 매상 1.8Ω인 3상 동기 발전기의 단락비는 약 얼마인가?
① 1.1 ② 1.2
③ 1.3 ④ 1.4
60. 동기기의 회전자에 의한 분류가 아닌 것은?
① 원통형 ② 유도자형
③ 회전 계자형 ④ 회전 전기자형
|
4과목 : 회로이론 및 제어공학 |
61. 기준 입력과 주궤환량과의 차로서, 제어계의 동작을 일으키는 원인이 되는 신호는?
① 조작 신호 ② 동작 신호
③ 주궤환 신호 ④ 기준 입력 신호
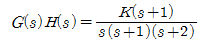
62. 폐루프 전달함수 C(s)/R(s)가 다음과 같은 2차 제어계에 대한 설명 중 틀린 것은?


63. 3차인 이산치 시스템의 특성 방정식의 근이 –0.3, -0.2, +0.5로 주어져 있다. 이 시스템의 안정도는?
① 이 시스템은 안정한 시스템이다.
② 이 시스템은 불안정한 시스템이다.
③ 이 시스템은 임계 안정한 시스템이다.
④ 위 정보로서는 이 시스템의 안정도를 알 수 없다.
64. 다음의 특성 방정식을 Routh-Hurwitz 방법으로 안정도를 판별하고자 한다. 이때 안정도를 판별하기 위하여 가장 잘 해석한 것은 어느 것인가?

① s 평면의 우반면에 근은 없으나 불안정하다.
② s 평면의 우반면에 근이 1개 존재하여 불안정하다.
③ s 평면의 우반면에 근이 2개 존재하여 불안정하다.
④ s 평면의 우반면에 근이 3개 존재하여 불안정하다.
65. 전달함수

일 때 근궤적의 수는?
① 1 ② 2
③ 3 ④ 4
66. 다음의 미분 방정식을 신호 흐름 선도에 옳게 나타낸 것은?


67. 다음 블록선도의 전체 전달함수가 1이 되기 위한 조건은?

68. 특성 방정식의 모든 근이 s 복소평면의 좌반면에 있으면 이 계는 어떠한가?
① 안정 ② 준안정
③ 불안정 ④ 조건부 안정
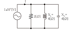
69. 그림의 회로는 어느 게이트(gate)에 해당되는가?

① OR ② AND
③ NOT ④ NOR
70. 전달함수가

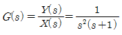
로 주어진 시스템의 단위 임펄스 응답은?
① y(t)=1-t+e-t ② y(t)=1+t+e-t
③ y(t)=t-1+e-t ④ y(t)=t-1-e-t
71. 다음과 같은 회로망에서 영상파라미터(영상전달정수) θ는?

① 10 ② 2
③ 1 ④ 0
72. △결선된 대칭 3상 부하가 있다. 역률이 0.8(지상)이고 소비전력이 1800W이다. 선로의 저항 0.5Ω에서 발생하는 선로 손실이 50W이면 부하단자 전압[V]은?
① 627 ② 525
③ 326 ④ 225
73. E=40+j30[V]의 전압을 가하면 I=30+j10[A]의 전류가 흐르는 회로의 역률은?
① 0.949 ② 0.831
③ 0.764 ④ 0.651
74. 그림과 같은 회로에서 스위치 S를 닫았을 때, 과도분을 포함하지 않기 위한 R[Ω]은?

① 100 ② 200
③ 300 ④ 400
75. 분포정수 회로에서 직렬 임피던스를 Z, 병렬 어드미턴스를 Y라 할 때, 선로의 특성임피던스 Z0는?

76. 다음과 같은 회로의 공진시 어드미턴스는?

① RL/C ② RC/L
③ L/RC ④ R/LC
77. 그림과 같은 회로에서 전류 I[A]는?

① 0.2 ② 0.5
③ 0.7 ④ 0.9
78.

로 주어졌을 때 F(s)의 역변환은?
① 1/2(1+et) ② 1/2(1+e-2t)
③ 1/2(1-e-t) ④ 1/2(1-e-2t)
79.

인 전압을 R-L 직렬 회로에 가할 때 제 5고조파 전류의 실효값은 약 몇 [A]인가? (단, R=12Ω, wL=1Ω 이다.)
① 10 ② 15
③ 20 ④ 25
80. 그림과 같은 파형의 전압 순시값은?

|
5과목 : 전기설비기술기준 및 판단기준 |
81. 가공전선로의 지지물에 시설하는 지선에 관한 사항으로 옳은 것은?
① 소선은 지름 2.0mm 이상인 금속선을 사용한다.
② 도로를 횡단하여 시설하는 지선의 높이는 지표상 6.0m 이상이다.
③ 지선의 안전율은 1.2 이상이고 허용 인장하중의 최저는 4.31kN으로 한다.
④ 지선에 연선을 사용할 경우에는 소선은 3가닥 이상의 연선을 사용한다.
82. 옥내배선의 사용 전압이 400V 미만일 때 전광표시 장치 · 출퇴 표시등 기타이와 유사한 장치 또는 제어회로 등의 배선에 다심 케이블을 시설하는 경우 배선의 단면적은 몇mm2 이상인가?
① 0.75 ② 1.5
③ 1 ④ 2.5
83. 154kV 가공 송전선로를 제1종 특고압 보안공사로 할 때 사용되는 경동연선의 굵기는 몇 mm2 이상인가?
① 100 ② 150
③ 200 ④ 250
84. 일반적으로 저압 옥내 간선에서 분기하여 전기사용기계기구에 이르는 저압 옥내 전로는 저압 옥내간선과의 분기점에서 전선의 길이가 몇 m 이하인 곳에 개폐기 및 과전류 차단기를 시설하여야 하는가?
① 0.5 ② 1.0
③ 2.0 ④ 3.0
85. 전동기 과부하 보호 장치의 시설에서 전원측 전로에 시설한 배선용 차단기의 정격 전류가 몇 A 이하의 것이면 이 전로에 접속하는 단상 전동기에는 과부하 보호 장치를 생략할 수 있는가?
① 15 ② 20
③ 30 ④ 50
86. 사용전압이 35kV 이하인 특고압 가공전선과 가공 약전류 전선 등을 동일 지지물에 시설하는 경우, 특고압 가공전선로는 어떤 종류의 보안 공사로 하여야 하는가?
① 고압 보안공사 ② 제1종 특고압 보안공사
③ 제2종 특고압 보안공사 ④ 제3종 특고압 보안공사
87. 사용전압이 고압인 전로의 전선으로 사용할 수 없는 케이블은?
① MI 케이블 ② 연피 케이블
③ 비닐외장 케이블 ④ 폴리에틸렌 외장 케이블
88. 가로등, 경기장, 공장, 아파트 단지 등의 일반 조명을 위하여 시설하는 고압 방전등은 그 효율이 몇 lm/W 이상의 것이어야 하는가?
① 30 ② 50
③ 70 ④ 100
89. 제1종 접지공사의 접지선의 굵기는 공칭단면적 몇 mm2 이상의 연동선이어야 하는가?
① 2.5 ② 4.0
③ 6.0 ④ 8.0
90. 금속관 공사에서 절연부싱을 사용하는 가장 주된 목적은?
① 관의 끝이 터지는 것을 방지
② 관내 해충 및 이물질 출입 방지
③ 관의 단구에서 조영재의 접촉 방지
④ 관의 단구에서 전선 피복의 손상 방지
91. 최대 사용전압이 3.3kV인 차단기 전로의 절연내력 시험전압은 몇 V인가?
① 3036 ② 4125
③ 4950 ④ 6600
92. 관·암거·기타 지중전선을 넣은 방호장치의 금속제부분(케이블을 지지하는 금구류는 제외한다.) 및 지중전선의 피복으로 사용하는 금속체에는 몇 종 접지공사를 하여야 하는가?
① 제1종 접지공사 ② 제2종 접지공사
③ 제3종 접지공사 ④ 특별 제3종 접지공사
93. 가반형(이동형)의 용접전극을 사용하는 아크 용접장치를 시설할 때 용접 변압기의 1차측 전로의 대지전압은 몇 V 이하이어야 하는가?
① 200 ② 250
③ 300 ④ 600
94. 지중전선로를 직접 매설식에 의하여 차량 기타 중량물의 압력을 받을 우려가 있는 장소에 시설할 경우에는 그 매설 깊이를 최소 몇 m 이상으로 하여야 하는가?
① 1 ② 1.2
③ 1.5 ④ 1.8
95. 사용전압이 22.9kV인 특고압 가공전선과 그 지지물·완금류·지주 또는 지선 사이의 이격거리는 몇 cm 이상이어야 하는가?
① 15 ② 20
③ 25 ④ 30
96. 건조한 장소로서 전개된 장소에 고압 옥내배선을 시설할 수 있는 공사방법은?
① 덕트 공사 ② 금속관 공사
③ 애자사용 공사 ④ 합성 수지관 공사
97. 제3종 접지공사를 하여야 할 곳은?
① 고압용 변압기의 외함
② 고압의 계기용 변성기의 2차측 전로
③ 특고압 계기용 변성기의 2차측 전로
④ 특고압과 고압의 혼촉방지를 위한 방전장치
98. 전기철도에서 배류시설에 강제 배류기를 사용할 경우 시설방법에 대한 설명으로 틀린 것은?
① 강제 배류기용 전원장치의 변압기는 절연 변압기일 것
② 강제 배류기를 보호하기 위하여 적정한 과전류 차단기를 시설할 것
③ 귀선에서 강제 배류기를 거쳐 금속제 지중 관로로 통하는 전류를 저지하는 구조로 할 것
④ 강제 배류기는 제2종 접지공사를 한 금속제 외함 기타 견고한 함에 넣어 시설하거나 사람이 접촉할 우려가 없도록 시설할 것
99. 고압 가공전선에 케이블을 사용하는 경우 케이블을 조가용선에 행거로 시설하고자 할 때 행거의 간격은 몇 cm 이하로 하여야 하는가?
① 30 ② 50
③ 80 ④ 100
100. 고압 가공전선로의 지지물에 시설하는 통신선의 높이는 도로를 횡단하는 경우 교통에 지장을 줄 우려가 없다면 지표상 몇 m까지로 감할 수 있는가?
① 4 ② 4.5
③ 5 ④ 6

문제가 이해되지 않거나 더많은 기출문제를 보고싶으면 책을 구매하시는게 더 좋습니다(추천 필기책)
파트너스 활동을 통해 일정액의 수수료를 제공받을 수 있음
'기사 > 전기기사' 카테고리의 다른 글
| 2021 . 1회차 . 전기기사 필기 기출문제 (정답포함) (0) | 2021.09.19 |
|---|---|
| 2017 . 1회차 . 전기기사 필기 기출문제 (정답포함) (0) | 2020.12.17 |
| 2017 . 3회차 . 전기기사 필기 기출문제 (정답포함) (0) | 2020.12.11 |
| 2020 . 4회차 . 전기기사 필기 기출문제 (정답포함) (0) | 2020.11.10 |
| 2018 . 1회차 . 전기기사 필기 기출문제 (정답포함) (0) | 2020.11.01 |



댓글