1. 평면도체 표면에서 r[m]의 거리에 점전하 Q[C]이 있을 때 이 전하를 무한원까지 운반하는데 필요한 일은 몇 J 인가?

2. 역자성체에서 비투자율(㎲)은 어느 값을 갖는가?
① ㎲=1 ② ㎲<1
③ ㎲>1 ④ ㎲=0
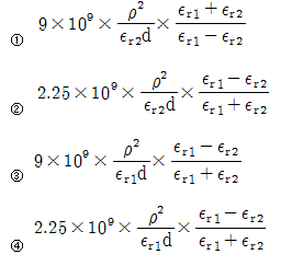
3. 비유전율 Єr1, Єr2인 두 유전체가 나란히 무한평면으로 접하고 있고, 이 경계면에 평행으로 유전체의 비유전율 Єr1 내에 경계면으로부터 d[m]인 위치에 선전하 밀도 ρ[C/m]인 선상전하가 있을 때, 이 선전하와 유전체 Єr2간의 단위 길이당의 작용력은 몇 N/m인가?

4. 점전하에 의한 전계는 쿨롱의 법칙을 사용하면 되지만 분포되어 있는 전하에 의한 전계를 구할 때는 무엇을 이용하는가?
① 렌츠의 법칙 ② 가우스의 정리
③ 라플라스 방정식 ④ 스토크스의 정리
5. 패러데이관(Faraday tube)의 성질에 대한 설명으로 틀린 것은?
① 패러데이관 중에 있는 전속수는 그 관속에 진전하가 없으면 일정하며 연속적이다.
② 패러데이관의 양단에는 양 또는 음의 단위 진전하가 존재하고 있다.
③ 패러데이관 한 개의 단위 전위차 당 보유에너지는 1/2J이다.
④ 패러데이관의 밀도는 전속밀도와 같지 않다.
6. 공기 중에 있는 지름 6㎝인 단일 도체구의 정전용량은 몇 ㎊인가?
① 0.34 ② 0.67
③ 3.34 ④ 6.71
7. 유전율이 Є1, Є2 [F/m]인 유전체 경계면에 단위면적당 작용하는 힘은 몇 N/m2 인가? (단, 전계가 경계면에 수직인 경우이며, 두 유전체의 전속밀도 D1=D2=D이다.)

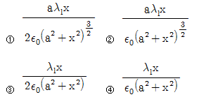
8. 진공 중에 균일하게 대전된 반지름 a[m]인 선전하 밀도 λl[C/m]의 원환이 있을 때, 그 중심으로부터 중심축상 x[m]의 거리에 있는 점의 전계의 세기는 몇 V/m 인가?

9. 내압 1000V 정전용량 1㎌, 내압 750V 정전용량 2㎌, 내압 500V 정전용량 5㎌인 콘덴서 3개를 직렬로 접속하고 인가전압을 서서히 높이면 최초로 파괴되는 콘덴서는?
① 1㎌ ② 2㎌
③ 5㎌ ④ 동시에 파괴된다.
10. 내부장치 또는 공간을 물질로 포위시켜 외부자계의 영향을 차폐시키는 방식을 자기차폐라 한다. 다음 중 자기차폐에 가장 좋은 것은?
① 비투자율이 1보다 작은 역자성체
② 강자성체 중에서 비투자율이 큰 물질
③ 강자성체 중에서 비투자율이 작은 물질
④ 비투자율에 관계없이 물질의 두께에만 관계되므로 되도록 두꺼운 물질
11. 40V/m인 전계 내의 50V되는 점에서 1C의 전하가 전계 방향으로 80㎝ 이동 하였을 때, 그 점의 전위는 몇 V 인가?
① 18 ② 22
③ 35 ④ 65
12. 그림과 같이 반지름 a[m]의 한번 감긴 원형코일이 균일한 자속밀도 B[Wb/m2]인 자계에 놓여 있다. 지금 코일 면을 자계와 나란하게 전류 I[A]를 흘리면 원형코일이 자계로부터 받는 회전 모멘트는 몇 Nm/rad 인가?

① πaBI ② 2πaBI
③ πa2BI ④ 2πa2BI
13. 다음 조건들 중 초전도체에 부합되는 것은? (단, μτ은 비투자율, Xm은 비자화율, B는 자속밀도이며 작동온도는 임계온도 이하라 한다.
① Xm=-1, μτ=0, B=0 ② Xm=0, μτ=0, B=0
③ Xm=1, μτ=0, B=0 ④ Xm=-1, μτ=1, B=0
14. x=0인 무한평면을 경계면으로 하여 x<0인 영역에는 비유전율 Єr1=2, x>0인 영역에는 Єr2=4인 유전체가 있다. Єr1인 유전체내에서 전계 E1=20ax-10ay+5azV/m 일 때 x>0인 영역에 있는 Єr2인 유전체내에서 전속밀도 D2[C/m2]는?단, 경계면상에는 자유전하가 없다고 한다.

15. 평면파 전파가 E=30cos(109t+20z)j V/m 로 주어 졌다면 이 전자파의 위상속도는 몇 m/s 인가?
① 5×107 ② 1/3×103
③ 109 ④ 3/2
16. 자속밀도 10 Wb/m2 자계 중에 10㎝ 도체를 자계와 30°의 각도로 30m/s로 움직일 때, 도체에 유기되는 기전력은 몇 V 인가?
① 15 ② 15√3
③ 1500 ④ 1500√3
17. 그림과 같이 단면적 S=10cm2, 자로의 길이 l=20π㎝, 비투자율 ㎲=1000인 철심에 N1=N2=100인 두 코일을 감았다. 두 코일사이의 상호인덕턴스는 몇 mH 인가?

① 0.1 ② 1
③ 2 ④ 20
18. 1㎂의 전류가 흐르고 있을 때, 1초 동안 통과하는 전자 수는 약 몇 개 인가? (단, 전자 1개의 전하는 1.602×10-19C 이다.)
① 6.24×1010 ② 6.24×1011
③ 6.24×1012 ④ 6.24×1013
19. 균일하게 원형단면을 흐르는 전류 I[A]에 의한, 반지름 a[m], 길이 l[m], 비투자율 ㎲인 원통도체의 내부 인덕턴스는 몇 H 인가?
① 10-7㎲l ② 3×10-7㎲l
③ 1/4a × 10-7㎲l ④ 1/2 × 10-7㎲l
20. 한 변의 길이가 10㎝인 정사각형 회로에 직류전류 10A가 흐를 때, 정사각형의 중심에서의 자계 세기는 몇 A/m 인가?
① 100√2/π ② 200√2/π
③ 300√2/π ④ 400√2/π
|
2과목 : 전력공학 |
21. 송전선에서 재폐로 방식을 사용하는 목적은?
① 역률 개선 ② 안정도 증진
③ 유도장해의 경감 ④ 코로나 발생방지
22. 설비용량이 360kW, 수용률 0.8, 부등률 1.2 일 때 최대수용전력은 몇 kW 인가?
① 120 ② 240
③ 360 ④ 480
23. 배전계통에서 사용하는 고압용 차단기의 종류가 아닌 것은?
① 기중차단기 ACB ② 공기차단기 ABB
③ 진공차단기 VCB ④ 유입차단기 OCB
24. SF6 가스차단기에 대한 설명으로 틀린 것은?
① SF6 가스 자체는 불활성 기체이다.
② SF6가스는 공기에 비하여 소호능력이 약 100배 정도이다.
③ 절연거리를 적게 할 수 있어 차단기 전체를 소형, 경량화 할 수 있다.
④ SF6 가스를 이용한 것으로서 독성이 있으므로 취급에 유의하여야 한다.
25. 송전선로의 일반회로 정수가 A=0.7, B=j190, D=0.9 일 때 C의 값은?
① -j1.95×10-3 ② j1.95×10-3
③ -j1.95×10-4 ④ j1.95×10-4
26. 부하역률이 0.8인 선로의 저항손실은 0.9인 선로의 저항손실에 비해서 약 몇 배 정도 되는가?
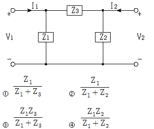
① 0.97 ② 1.1
③ 1.27 ④ 1.5
27. 단상변압기 3대에 의한 △결선에서 1대를 제거하고 동일전력을 V결선으로 보낸다면 동손은 약 몇 배가 되는가?
① 0.67 ② 2.0
③ 2.7 ④ 3.0
28. 피뢰기의 충격방전 개시전압은 무엇으로 표시하는가?
① 직류전압의 크기 ② 충격파의 평균치
③ 충격파의 최대치 ④ 충격파의 실효치
29. 단상 2선식 배전선로의 선로임피던스가 2+j5Ω이고 무유도성 부하전류 10A 일 때 송전단 역률은? (단, 수전단 전압의 크기는 100V이고, 위상각은 0°이다.)
① 5/12 ② 5/13
③ 11/12 ④ 12/13
30. 그림과 같이 전력선과 통신선 사이에 차폐선을 설치하였다. 이 경우에 통신선의 차폐계수(K)를 구하는 관계식은? 단, 차폐선을 통신선에 근접하여 설치한다.

31. 모선 보호에 사용되는 계전방식이 아닌 것은?
① 위상 비교방식 ② 선택접지 계전방식
③ 방향거리 계전방식 ④ 전류차동 보호방식
32. %임피던스와 관련된 설명으로 틀린 것은?
① 정격전류가 증가하면 %임피던스는 감소한다.
② 직렬리액터가 감소하면 %임피던스도 감소한다.
③ 전기기계의 %임피던스가 크면 차단기의 용량은 작아진다.
④ 송전계통에서는 임피던스의 크기를 옴값대신에 %값으로 나타내는 경우가 많다.
33. A, B 및 C상 전류를 각각 Ia, Ib, 및 Ic라 할 때

으로 표시되는 Ix는 어떤 전류인가?
① 정상전류 ② 역상전류
③ 영상전류 ④ 역상전류와 영상전류의 합
34. 그림과 같이 “수류가 고체에 둘러싸여 있고 A로부터 유입되는 수량과 B로부터 유출되는 수량이 같다”고 하는 이론은?

① 수두이론 ② 연속의 원리
③ 베르누이의 정리 ④ 토리첼리의 정리
35. 4단자 정수가 A, B, C, D인 선로에 임피던스가 1/ZT인 변압기가 수전단에 접속된 경우 계통의 4단자 정수 중 D0는?

36. 대용량 고전압의 안정권선(△권선)이 있다. 이 권선의 설치 목적과 관계가 먼 것은?
① 고장전류 저감 ② 제3고조파 제거
③ 조상설비 설치 ④ 소내용 전원공급
37. 한류리액터를 사용하는 가장 큰 목적은?
① 충전전류의 제한 ② 접지전류의 제한
③ 누설전류의 제한 ④ 단락전류의 제한
38. 변압기 등 전력설비 내부 고장 시 변류기에 유입하는 전류와 유출하는 전류의 차로 동작하는 보호계전기는?
① 차동계전기 ② 지락계전기
③ 과전류계전기 ④ 역상전류계전기
39. 3상 결선 변압기의 단상운전에 의한 소손방지 목적으로 설치하는 계전기는?
① 차동계전기 ② 역상계전기
③ 단락계전기 ④ 과전류계전기
40. 송전선로의 정전용량은 등가 선간거리 D가 증가하면 어떻게 되는가?

① 증가한다. ② 감소한다.
③ 변하지 않는다. ④ D2에 반비례하여 감소한다.
|
3과목 : 전기기기 |
41. 단상 직권 정류자 전동기의 전기자 권선과 계자권선에 대한 설명으로 틀린 것은?
① 계자권선의 권수를 적게 한다.
② 전기자 권선의 권수를 크게 한다.
③ 변압기 기전력을 적게 하여 역률 저하를 방지한다.
④ 브러시로 단락되는 코일 중의 단락전류를 많게 한다.
42. 단상 직권 전동기의 종류가 아닌 것은?
① 직권형 ② 아트킨손형
③ 보상직권형 ④ 유도보상직권형
43. 동기조상기의 여자전류를 줄이면?
① 콘덴서로 작용 ② 리액터로 작용
③ 진상전류로 됨 ④ 저항손의 보상
44. 권선형 유도전동기에서 비례추이에 대한 설명으로 틀린 것은? (단, sm은 최대토크 시 슬립이다.)
① r2를 크게 하면 sm은 커진다.
② r2를 삽입하면 최대토크가 변한다.
③ r2를 크게 하면 기동토크도 커진다.
④ r2를 크게 하면 기동전류는 감소한다.
45. 전기자저항 ra=0.2Ω, 동기리액턴스 xs=20Ω인 Y결선의 3상 동기발전기가 있다. 3상 중 1상의 단자전압 V=4400V, 유도기전력 E=6600V이다. 부하각 δ=30°라고 하면 발전기의 출력은 약 몇 kW인가?
① 2178 ② 3251
③ 4253 ④ 5532
46. 반도체 정류기에 적용된 소자 중 첨두 역방향 내전압이 가장 큰 것은?
① 셀렌 정류기 ② 실리콘 정류기
③ 게르마늄 정류기 ④ 아산화동 정류기
47. 동기전동기에서 전기자 반작용을 설명한 것 중 옳은 것은?
① 공급전압보다 앞선 전류는 감자작용을 한다.
② 공급전압보다 뒤진 전류는 감자작용을 한다.
③ 공급전압보다 앞선 전류는 교차자화작용을 한다.
④ 공급전압보다 뒤진 전류는 교차자화작용을 한다.
48. 변압기 결선방식 중 3상에서 6상으로 변환할 수 없는 것은?
① 2중 성형 ② 환상 결선
③ 대각 결선 ④ 2중 6각 결선
49. 실리콘 제어정류기(SCR)의 설명 중 틀린 것은?
① PNPN 구조로 되어 있다.
② 인버터 회로에 이용될 수 있다.
③ 고속도의 스위치 작용을 할 수 있다.
④ 게이트에 (+)와 (-)의 특성을 갖는 펄스를 인가하여 제어한다.
50. 직류발전기가 90% 부하에서 최대효율이 된다면 이 발전기의 전부하에 있어서 고정손과 부하손의 비는?
① 1.1 ② 1.0
③ 0.9 ④ 0.81
51. 150kVA의 변압기의 철손이 1kW, 전부하동손이 2.5kW이다. 역률 80%에 있어서의 최대효율은 약 몇 %인가?
① 95 ② 96
③ 97.4 ④ 98.5
52. 정격부하에서 역률 0.8(뒤짐)로 운전될 때, 전압 변동률이 12%인 변압기가 있다. 이 변압기에 역률 100%의 정격 부하를 걸고 운전할 때의 전압 변동률은 약 몇 %인가? (단, %저항강하는 %리액턴스강하의 1/12이라고 한다.)
① 0.909 ② 1.5
③ 6.85 ④ 16.18
53. 권선형 유도전동기 저항제어법의 단점 중 틀린 것은?
① 운전 효율이 낮다.
② 부하에 대한 속도 변동이 작다.
③ 제어용 저항기는 가격이 비싸다.
④ 부하가 적을 때는 광범위한 속도 조정이 곤란하다.
54. 부하 급변 시 부하각과 부하 속도가 진동하는 난조 현상을 일으키는 원인이 아닌 것은?
① 전기자 회로의 저항이 너무 큰 경우
② 원동기의 토크에 고조파가 포함된 경우
③ 원동기의 조속기 감도가 너무 예민한 경우
④ 자속의 분포가 기울어져 자속의 크기가 감소한 경우
55. 단상 변압기 3대를 이용하여 3상 △-Y 결선을 했을 때 1차와 2차 전압의 각변위(위상차)는?
① 0° ② 60°
③ 150° ④ 180°
56. 권선형 유도 전동기의 전부하 운전 시 슬립이 4%이고, 2차 정격전압이 150V 이면 2차 유도기전력은 몇 V 인가?
① 9 ② 8
③ 7 ④ 6
57. 3상 유도전동기의 슬립이 s일 때 2차 효율[%]은?
① (1-s)×100 ② (2-s)×100
③ (3-s)×100 ④ (4-s)×100
58. 직류전동기의 회전수를 1/2로 하자면 계자자속을 어떻게 해야 하는가?
① 1/4로 감소시킨다. ② 1/2로 감소시킨다.
③ 2배로 증가시킨다. ④ 4배로 증가시킨다.
59. 사이리스터 2개를 사용한 단상 전파정류회로에서 직류전압 100V를 얻으려면 PIV가 약 몇 V 인 다이오드를 사용하면 되는가?
① 111 ② 141
③ 222 ④ 314
60. 교류발전기의 고조파 발생을 방지하는 방법으로 틀린 것은?
① 전기자 반작용을 크게 한다.
② 전기자 권선을 단절권으로 감는다.
③ 전기자 슬롯을 스큐 슬롯으로 한다.
④ 전기자 권선의 결선을 성형으로 한다.
|
4과목 : 회로이론 및 제어공학 |
61. 개루프 전달함수 G(s)가 다음과 같이 주어지는 단위 부궤환계가 있다. 단위 계단입력이 주어졌을 때, 정상상태 편차가 0.05가 되기 위해서는 K의 값은 얼마인가?

① 19 ② 20
③ 0.95 ④ 0.05
62. 제어량의 종류에 따른 분류가 아닌 것은?
① 자동조정 ② 서보기구
③ 적응제어 ④ 프로세스제어
63. 개루프 전달함수

일 때 주어지는 계에서 점근선 교차점은?
① -3/2 ② -7/4
③ 5/3 ④ -1/5
64. 단위계단함수의 라플라스변환과 z변환함수는?

65. 다음 방정식으로 표시되는 제어계가 있다. 이 계를 상태 방정식

로 나타내면 계수 행렬 A는?

66. 안정한 제어계에 임펄스 응답을 가했을 때 제어계의 정상상태 출력은?
① 0 ② +∞ 또는 -∞
③ +의 일정한 값 ④ -의 일정한 값
67. 그림과 같은 블록선도에서 C(s)/R(s) 값은?

68. 신호흐름선도에서 전달함수 C/R를 구하면?

69. 특성방정식이 s3+2s2+Ks+5=0가 안정하기 위한 K의 값은?
① K>0 ② K<0
③ K>5/2 ④ K<5/2
70. 다음과 같은 진리표를 갖는 회로의 종류는?

① AND ② NOR
③ NAND ④ EX-OR
71. 대칭좌표법에서 대칭분을 각 상전압으로 표시한 것 중 틀린 것은?

72. R-L 직렬회로에서 스위치 S가 1번 위치에 오랫동안 있다가 t=0+에서 위치 2번으로 옮겨진 후, L/R[s] 후에 L에 흐르는 전류[A]는?

① E/R ② 0.5E/R
③ 0.368E/R ④ 0.632E/R
73. 분포 정수회로에서 선로정수가 R, L, C, G이고 무왜형 조건이 RC=GL과 같은 관계가 성립될 때 선로의 특성 임피던스 Z0는? (단, 선로의 단위길이당 저항을 R, 인덕턴스를 L, 정전용량을 C, 누설컨덕턴스를 G라 한다.)

74. 그림과 같은 4단자 회로망에서 하이브리드 파라미터 H11은?

75. 내부저항 0.1Ω인 건전지 10개를 직렬로 접속하고 이것을 한조로 하여 5조 병렬로 접속하면 합성 내부저항은 몇 Ω 인가?
① 5 ② 1
③ 0.5 ④ 0.2
76. 함수 f(t)의 라플라스 변환은 어떤 식으로 정의되는가?

77. 대칭좌표법에서 불평형률을 나타내는 것은?

78. 그림의 왜형파를 푸리에의 급수로 전개할 때, 옳은 것은?

① 우수파만 포함한다.
② 기수파만 포함한다.
③ 우수파, 기수파 모두 포함한다.
④ 푸리에의 급수로 전개 할 수 없다.
79. 최대값이 Em인 반파 정류 정현파의 실효값은 몇 V인가?

80. 그림과 같이 R[Ω]의 저항을 Y결선으로 하여 단자의 a, b 및 c에 비대칭 3상 전압을 가할 때, a 단자의 중성점 N에 대한 전압은 약 몇 V 인가? (단, Vab=210V, Vbc=-90-J180V, Vca=-120+J180V)

① 100 ② 116
③ 121 ④ 125
|
5과목 : 전기설비기술기준 및 판단기준 |
81. 태양전지 모듈의 시설에 대한 설명으로 옳은 것은?
① 충전부분은 노출하여 시설할 것
② 출력배선은 극성별로 확인 가능토록 표시할 것
③ 전선은 공칭단면적 1.5mm2 이상의 연동선을 사용할 것
④ 전선을 옥내에 시설할 경우에는 애자사용 공사에 준하여 시설할 것
82. 저압 옥상전선로를 전개된 장소에 시설하는 내용으로 틀린 것은?
① 전선은 절연전선일 것
② 전선은 2.5mm2 이상의 경동선일 것
③ 전선과 그 저압 옥상전선로를 시설하는 조영재와의 이격거리는 2m 이상일 것
④ 전선은 조영재에 내수성이 있는 애자를 사용하여 지지하고 그 지지점 간의 거리는 15m 이하일 것
83. 무대, 무대마루 밑, 오캐스트라 박스, 영사실 기타 사람이나 무대 도구가 접촉할 우려가 있는 곳에 시설하는 저압 옥내배선, 전구선 또는 이동전선은 사용전압이 몇 V 미만이어야 하는가?
① 60 ② 110
③ 220 ④ 400
84. 과전류차단기로 시설하는 퓨즈 중 고압전로에 사용하는 포장퓨즈는 정격전류의 몇 배의 전류에 견디어야 하는가?
① 1.1 ② 1.25
③ 1.3 ④ 1.6
85. 터널 안 전선로의 시설방법으로 옳은 것은?
① 저압전선은 지름 2.6㎜의 경동선의 절연전선을 사용하였다.
② 고압전선은 절연전선을 사용하여 합성수지관 공사로 하였다.
③ 저압전선을 애자사용 공사에 의하여 시설하고 이를 레일면상 또는 노면상 2.2m의 높이로 시설하였다.
④ 고압전선을 금속관공사에 의하여 시설하고 이를 레일면상 또는 노면상 2.4m의 높이로 시설하였다.
86. 저압 옥측전선로에서 목조의 조영물에 시설할 수 있는 공사 방법은?
① 금속관공사 ② 버스덕트공사
③ 합성수지관공사 ④ 연피 또는 알루미늄 케이블공사
87. 특고압을 직접 저압으로 변성하는 변압기를 시설하여서는 아니 되는 변압기는?
① 광산에서 물을 양수하기 위한 양수기용 변압기
② 전기로 등 전류가 큰 전기를 소비하기 위한 변압기
③ 교류식 전기철도용 신호회로에 전기를 공급하기 위한 변압기
④ 발전소, 변전소, 개폐소 또는 이에 준하는 곳의 소내용 변압기
88. 케이블 트레이공사에 사용하는 케이블 트레이의 시설기준으로 틀린 것은?
① 케이블 트레이 안전율은 1.3 이상이어야 한다.
② 비금속제 케이블 트레이는 난연성 재료의 것이어야 한다.
③ 전선의 피복 등을 손상시킬 돌기 등이 없이 매끈해야 한다.
④ 저압옥내배선의 사용전압이 400V 미만인 경우에는 금속제 트레이에 제3종 접지공사를 하여야 한다.
89. 전로에 대한 설명 중 옳은 것은?
① 통상의 사용 상태에서 전기를 절연한 곳
② 통상의 사용 상태에서 전기를 접지한 곳
③ 통상의 사용 상태에서 전기가 통하고 있는 곳
④ 통상의 사용 상태에서 전기가 통하고 있지 않은 곳
90. 최대 사용전압 23kV의 권선으로 중성점접지식 전로(중성선을 가지는 것으로 그 중성선에 다중 접지를 하는 전로)에 접속되는 변압기는 몇 V의 절연내력 시험전압에 견디어야 하는가?
① 21160 ② 25300
③ 38750 ④ 34500
91. 고압 가공전선으로 경동선 또는 내열 동합금선을 사용할 때 그 안전율은 최소 얼마 이상이되는 이도로 시설하여야 하는가?
① 2.0 ② 2.2
③ 2.5 ④ 3.3
92. 제3종 접지공사에 사용되는 접지선의 굵기는 공칭단면적 몇 mm2 이상의 연동선을 사용하여야 하는가?
① 0.75 ② 2.5
③ 6 ④ 16
93. 고압 보안공사에서 지지물이 A종 철주인 경우 경간은 몇 m 이하 인가?
① 100 ② 150
③ 250 ④ 400
94. 가공 직류 전차선의 레일면상의 높이는 4.8m 이상이어야 하나 광산 기타의 갱도 안의 윗면에 시설하는 경우는 몇 m 이상이어야 하는가?
① 1.8 ② 2
③ 2.2 ④ 2.4
95. 가공전선로 지지물의 승탑 및 승주방지를 위한 발판 볼트는 지표상 몇 m 미만에 시설 하여서는 아니 되는가?
① 1.2 ② 1.5
③ 1.8 ④ 2.0
96. 저압 옥내간선에서 분기하여 전기사용 기계기구에 이르는 저압 옥내전로는 분기점에서 전선의 길이가 몇 m 이하인 곳에 개폐기 및 과전류차단기를 시설하여야 하는가?
① 2 ② 3
③ 4 ④ 5
97. 사용전압이 60kV 이하인 경우 전화선로의 길이 12km 마다 유도전류는 몇 ㎂를 넘지 않도록 하여야 하는가?
① 1 ② 2
③ 3 ④ 5
98. 발전소, 변전소, 개폐소 또는 이에 준하는 곳에서 개폐기 또는 차단기에 사용하는 압축공기장치의 공기압축기는 최고 사용압력의 1.5배의 수압을 연속하여 몇 분간 가하여 시험을 하였을 때에 이에 견디고 또한 새지 아니하여야 하는가?
① 5 ② 10
③ 15 ④ 20
99. 금속덕트 공사에 의한 저압 옥내배선공사 시설에 대한 설명으로 틀린 것은?
① 저압 옥내배선의 사용전압이 400V 미만인 경우에는 덕트에 제3종 접지공사를 한다.
② 금속덕트는 두께 1.0㎜ 이상인 철판으로 제작하고 덕트 상호간에 완전하게 접속한다.
③ 덕트를 조영재에 붙이는 경우 덕트 지지점간의 거리를 3m 이하로 견고하게 붙인다.
④ 금속덕트에 넣은 전선의 단면적의 합계가 덕트의 내부 단면적의 20% 이하가 되도록 한다.
100. 그림은 전력선 반송통신용 결합장치의 보안장치를 나타낸 것이다. S의 명칭으로 옳은 것은?

① 동축 케이블 ② 결합 콘덴서
③ 접지용 개폐기 ④ 구상용 방전갭

문제가 이해되지 않거나 더많은 기출문제를 보고싶으면 책을 구매하시는게 더 좋습니다(추천 필기책)
파트너스 활동을 통해 일정액의 수수료를 제공받을 수 있음
'기사 > 전기기사' 카테고리의 다른 글
| 2017 . 3회차 . 전기기사 필기 기출문제 (정답포함) (0) | 2020.12.11 |
|---|---|
| 2020 . 4회차 . 전기기사 필기 기출문제 (정답포함) (0) | 2020.11.10 |
| 2018 . 2회차 . 전기기사 필기 기출문제 (정답포함) (0) | 2020.10.31 |
| 2018 . 3회차 . 전기기사 필기 기출문제 (정답포함) (0) | 2020.10.30 |
| 2020 . 3회차 . 전기기사 필기 기출문제 (정답포함) (0) | 2020.09.23 |



댓글