본문 바로가기
기사/전기기사

2021 . 3회차 . 전기기사 필기 기출문제 (정답포함)

by 라인T 2022. 1. 25.
반응형
  1. 자기 인덕턴스가 각각 L1, L2인 두 코일의 상호 인덕턴스가 M일 때 결합 계수는?
  2. 정상 전류계에서 J는 전류밀도, σ는 도전율, ρ는 고유저항, E는 전계의 세기일 때, 옴의 법칙의 미분형은?
    ① J=σE ② J=E/σ
    ③ J=ρE ④ J=ρσE
  3. 길이가 10cm이고 단면의 반지름이 1cm인 원통형 자성체가 길이 방향으로 균일하게 자화되어 있을 때 자화의 세기가 0.5Wb/m2이라면 이 자성체의 자기모멘트(Wbㆍm)는?
    ① 1.57×10-5 ② 1.57×10-4
    ③ 1.57×10-3 ④ 1.57×10-2
  4. 그림과 같이 공기 중 2개의 동심 구도체에서 내구(A)에만 전하 Q를 주고 외구(B)를 접지하였을 때 내구(A)의 전위는?
  5. 평행관 커패시터에 어떤 유전체를 넣었을 때 전속밀도가 4.8×10-7C/m2이고 단위 체적당 정전에너지가 5.3×10-3J/m3이었다. 이 유전체의 유전율은 약 몇 F/m인가?
    ① 1.15×10-11 ② 2.17×10-11
    ③ 3.19×10-11 ④ 4.21×10-11
  6. 히스테리시스 곡선에서 히스테리시스 손실에 해당하는 것은?
    ① 보자력의 크기
    ② 잔류자기의 크기
    ③ 보자력과 잔류자기의 곱
    ④ 히스테리시스 곡선의 면적
  7. 그림과 같이 극판의 면적이 S(m2)인 평행판 커패시터에 유전율이 각각 ε1=4, ε2=2인 유전체를 채우고 a, b 양단에 V(V)의 전압을 인가했을 때 ε1, ε2인 유전체 내부의 전계의 세기 E1과 E2의 관계식은? (단, σ(C/m2)는 면전하밀도이다.)
  8. 간격이 d(m)이고 면적이 S(m2)인 평행판 커패시터의 전극 사이에 유전율이 ε인 유전체를 넣고 전극 간에 V(V)의 전압을 가했을 때, 이 커패시터의 전극판을 떼어내는데 필요한 힘의 크기(N)는?
  9. 다음 중 기자력(magnetomotive force)에 대한 설명으로 틀린 것은?
    ① SI 단위는 암페어(A)이다.
    ② 전기회로의 기전력에 대응한다.
    ③ 자기회로의 자기저항과 자속의 곱과 동일하다.
    ④ 코일에 전류를 흘렸을 때 전류밀도와 코일의 권수의 곱의 크기와 같다.
  10. 유전율 ε, 투자율 μ인 매질 내에서 전자파의 전파속도는?
  11. 평균 반지름(r)이 20cm, 단면적(S)이 6cm2인 환상 철심에서 권선수(N)가 500회인 코일에 흐르는 전류(I)가 4A일 때 철심 내부에서의 자계의 세기(H)는 약 몇 AT/m인가?
  12. 패러데이관(Faraday tube)의 성질에 대한 설명으로 틀린 것은?
    ① 패러데이관 중에 있는 전속수는 그 관속에 진전하가 없으면 일정하며 연속적이다.
    ② 패러데이관의 양단에는 양 또는 음의 단위 진전하가 존재하고 있다.
    ③ 패러데이관 한 개의 단위 전위차 당 보유에너지는 (1/2)J이다.
    ④ 패러데이관의 밀도는 전속밀도와 같지 않다.
  13. 공기 중 무한 평면도체의 표면으로부터 2m 떨어진 곳에 4C의 점전하가 있다. 이 점전하가 받는 힘은 몇 N인가?
  14. 반지름이 r(m)인 반원형 전류 I(A)에 의한 반원의 중심(O)에서 자계의 세기(AT/m)는?
    ① 2I/r ② I/r
    ③ I/2r ④ I/4r
  15. 진공 중에서 점(0, 1)m의 위치에 -2×10-9 C의 점전하가 있을 때, 점(2, 0)m에 있는 1C의 점전하에 작용하는 힘은 몇 N인가? (단, 는 단위벡터이다.)
  16. 내압이 2.0kV이고 정전용량이 각각 0.01μF, 0.02μF, 0.04μF인 3개의 커패시터를 직렬로 연결했을 때 전체 내압은 몇 V인가?
    ① 1750 ② 2000
    ③ 3500 ④ 4000
  17. 그림과 같이 단면적 S(m2)가 균일한 환상철심에 권수 N1인 A 코일과 권수 N2인 B 코일이 있을 때, A코일의 자기 인덕턴스가 L1(H)이라면 두 코일의 상호 인덕턴스 M(H)는? (단, 누설자속은 0이다.)
  18. 간격 d(m), 면적 S(m2)의 평행판 전극 사이에 유전율이 ε인 유전체가 있다. 전극 간에 v(t)=Vmsinωt의 전압을 가했을 때, 유전체 속의 변위전류밀도(A/m2)는?
  19. 속도 v의 전자가 평등자계 내에 수직으로 들어갈 때, 이 전자에 대한 설명으로 옳은 것은?
    ① 구면위에서 회전하고 구의 반지름은 자계의 세기에 비례한다.
    ② 원운동을 하고 원의 반지름은 자계의 세기에 비례한다.
    ③ 원운동을 하고 원의 반지름은 자계의 세기에 반비례한다.
    ④ 원운동을 하고 원의 반지름은 전자의 처음 속도의 제곱에 비례한다.
  20. 쌍극자 모멘트가 M(C·m)인 전기쌍극자에 의한 임의의 점 P에서의 전계의 크기는 전기쌍극자의 중심에서 축방향과 점 P를 잇는 선분 사이의 각이 얼마일 때 최대가 되는가?
    ① 0 ② π/2
    ③ π/3 ④ π/4

2과목 : 전력공학

  1. 동작 시간에 따른 보호 계전기의 분류와 이에 대한 설명으로 틀린 것은?
    ① 순한시 계전기는 설정된 최소동작전류 이상의 전류가 흐르면 즉시 동작한다.
    ② 반한시 계전기는 동작시간이 전류값의 크기에 따라 변하는 것으로 전류값이 클수록 느리게 동작하고 반대로 전류값이 작아질수록 빠르게 동작하는 계전기이다.
    ③ 정한시 계전기는 설정된 값 이상의 전류가 흘렀을 때 동작 전류의 크기와는 관계없이 항상 일정한 시간 후에 동작하는 계전기이다.
    ④ 반한시·정한시 계전기는 어느 전류값까지는 반한시성이지만 그 이상이 되면 정한시로 동작하는 계전기이다.
  2. 환상선로의 단락보호에 주로 사용하는 계전방식은?
    ① 비율차동계전방식 ② 방향거리계전방식
    ③ 과전류계전방식 ④ 선택접지계전방식
  3. 옥내배선을 단상 2선식에서 단상 3선식으로 변경하였을 때, 전선 1선당 공급전력은 약 몇 배 증가하는가? (단, 선간전압(단상 3선식의 경우는 중성선과 타선간의 전압), 선로전류(중성선의 전류 제외) 및 역률은 같다.)
    ① 0.71 ② 1.33
    ③ 1.41 ④ 1.73
  4. 3상용 차단기의 정격차단용량은 그 차단기의 정격전압과 정격차단전류와의 곱을 몇 배한 것인가?
    ① 1/√2 ② 1/√3
    ③ √2 ④ √3
  5. 유효낙차 100m. 최대 유량 20m3/s의 수차가 있다. 낙차가 81m로 감소하면 유량(m3/s)은? (단, 수차에서 발생되는 손실 등은 무시하며 수차 효율은 일정하다.)
    ① 15 ② 18
    ③ 24 ④ 30
  6. 단락용량 3000MVA인 모선의 전압이 154kV라면 등가 모선 임피던스(Ω)는 약 얼마인가?
    ① 5.81 ② 6.21
    ③ 7.91 ④ 8.71
  7. 중성점 접지 방식 중 직접접지 송전방식에 대한 설명으로 틀린 것은?
    ① 1선 지락 사고 시 지락전류는 타접지방식에 비하여 최대로 된다.
    ② 1선 지락 사고 시 지락계전기의 동작이 확실하고 선택차단이 가능하다.
    ③ 통신선에서의 유도장해는 비접지방식에 비하여 크다.
    ④ 기기의 절연레벨을 상승시킬 수 있다.
  8. 송전선에 직렬콘덴서를 설치하였을 때의 특징으로 틀린 것은?
    ① 선로 중에서 일어나는 전압강하를 감소시킨다.
    ② 송전전력의 증가를 꾀할 수 있다.
    ③ 부하역률이 좋을수록 설치효과가 크다.
    ④ 단락사고가 발생하는 경우 사고전류에 의하여 과전압이 발생한다.
  9. 수압철관의 안지름이 4m인 곳에서의 유속이 4m/s이다. 안지름이 3.5m인 곳에서의 유속(m/s)은 약 얼마인가?
    ① 4.2 ② 5.2
    ③ 6.2 ④ 7.2
  10. 경간이 200m인 가공 전선로가 있다. 사용전선의 길이는 경간보다 약 몇 m 더 길어야 하는가? (단, 전선의 1m당 하중은 2kg, 인장하중은 4000kg이고, 풍압하중은 무시하며, 전선의 안전율은 2이다.)
    ① 0.33 ② 0.61
    ③ 1.41 ④ 1.73
  11. 송전선로에서 현수 애자련의 연면 섬락과 가장 관계가 먼 것은?
    ① 댐퍼 ② 철탑 접지 저항
    ③ 현수 애자련의 개수 ④ 현수 애자련의 소손
  12. 전력계통의 중성점 다중 접지방식의 특징으로 옳은 것은?
    ① 통신선의 유도장해가 적다.
    ② 합성 접지 저항이 매우 높다.
    ③ 건전상의 전위 상승이 매우 높다.
    ④ 지락보호 계전기의 동작이 확실하다.
  13. 전력계통의 전압조정설비에 대한 특징으로 틀린 것은?
    ① 병렬콘덴서는 진상능력만을 가지며 병렬리액터는 진상능력이 없다.
    ② 동기조상기는 조정의 단계가 불연속적이나 직렬콘덴서 및 병렬리액터는 연속적이다.
    ③ 동기조상기는 무효전력의 공급과 흡수가 모두 가능하여 진상 및 지상용량을 갖는다.
    ④ 병렬리액터는 경부하시에 계통 전압이 상승하는 것을 억제하기 위하여 초고압송전선 등에 설치된다.
  14. 변압기 보호용 비율차동계전기를 사용하여 △-Y 결선의 변압기를 보호하려고 한다. 이때 변압기 1, 2차측에 설치하는 변류기의 결선 방식은? (단, 위상 보정기능이 없는 경우이다.)
    ① △ - △ ② △ - Y
    ③ Y - △ ④ Y - Y
  15. 송전선로에 단도체 대신 복도체를 사용하는 경우에 나타나는 현상으로 틀린 것은?
    ① 전선의 작용인덕턴스를 감소시킨다.
    ② 선로의 작용정전용량을 증가시킨다.
    ③ 전선 표면의 전위경도를 저감시킨다.
    ④ 전선의 코로나 임계전압을 저감시킨다.
  16. 어느 화력발전소에서 40000kWh를 발전하는데 발열량 860kcal/kg의 석탄이 60톤 사용된다. 이 발전소의 열효율(%)은 약 얼마인가?
    ① 56.7 ② 66.7
    ③ 76.7 ④ 86.7
  17. 가공송전선의 코로나 임계전압에 영향을 미치는 여러 가지 인자에 대한 설명 중 틀린 것은?
    ① 전선표면이 매끈할수록 임계전압이 낮아진다.
    ② 날씨가 흐릴수록 임계전압은 낮아진다.
    ③ 기압이 낮을수록, 온도가 높을수록 임계전압은 낮아진다.
    ④ 전선의 반지름이 클수록 임계전압은 높아진다.
  18. 송전선의 특성 임피던스의 특징으로 옳은 것은?
    ① 선로의 길이가 길어질수록 값이 커진다.
    ② 선로의 길이가 길어질수록 값이 작아진다.
    ③ 선로의 길이에 따라 값이 변하지 않는다.
    ④ 부하용량에 따라 값이 변한다.
  19. 송전 선로의 보호 계전 방식이 아닌 것은?
    ① 전류 위상 비교 방식
    ② 전류 차동 보호 계전 방식
    ③ 방향비교 방식
    ④ 전압 균형 방식
  20. 선로고장 발생 시 고장전류를 차단할 수 없어 리클로저와 같이 차단 기능이 있는 후비보호장치와 함께 설치되어야 하는 장치는?
    ① 배선용차단기 ② 유입개폐기
    ③ 컷아웃스위치 ④ 섹셔널라이저

3과목 : 전기기기

  1. 3상 변압기를 병렬 운전하는 조건으로 틀린 것은?
    ① 각 변압기의 극성이 같을 것
    ② 각 변압기의 %임피던스 강하가 같을 것
    ③ 각 변압기의 1차와 2차 정격전압과 변압비가 같을 것
    ④ 각 변압기의 1차와 2차 선간전압의 위상변위가 다를 것
  2. 직류 직권전동기에서 분류 저항기를 직권권선에 병렬로 접속해 여자전류를 가감시켜 속도를 제어하는 방법은?
    ① 저항 제어 ② 전압 제어
    ③ 계자 제어 ④ 직·병렬 제어
  3. 직류발전기의 특성곡선에서 각 축에 해당하는 항목으로 틀린 것은?
    ① 외부특성곡선: 부하전류와 단자전압
    ② 부하특성곡선: 계자전류와 단자전압
    ③ 내부특성곡선 : 무부하전류와 단자전압
    ④ 무부하특성곡선 : 계자전류와 유도기전력
  4. 60Hz, 600rpm의 동기전동기에 직결된 기동용 유도전동기의 극수는?
    ① 6 ② 8
    ③ 10 ④ 12
  5. 다이오드를 사용한 정류회로에서 다이오드를 여러 개 직렬로 연결하면 어떻게 되는가?
    ① 전력공급의 중대
    ② 출력전압의 맥동률을 감소
    ③ 다이오드를 과전류로부터 보호
    ④ 다이오드를 과전압으로부터 보호
  6. 4극, 60Hz인 3상 유도전동기가 있다. 1725rpm으로 회전하고 있을 때, 2차 기전력의 주파수(Hz)는?
    ① 2.5 ② 5
    ③ 7.5 ④ 10
  7. 직류 분권전동기의 전압이 일정할 때 부하토크가 2배로 증가하면 부하전류는 약 몇 배가 되는가?
    ① 1 ② 2
    ③ 3 ④ 4
  8. 유도전동기의 슬립을 측정하려고 한다. 다음 중 슬립의 측정법이 아닌 것은?
    ① 수화기법 ② 직류밀리볼트계법
    ③ 스트로보스코프법 ④ 프로니브레이크법
  9. 정격출력 10000kVA, 정격전압 6600V, 정격역률 0.8인 3상 비돌극 동기발전기가 있다. 여자를 정격상태로 유지할 때 이 발전기의 최대 출력은 약 몇 kW 인가? (단, 1상의 동기 리액턴스를 0.9pu라 하고 저항은 무시한다.)
    ① 17089 ② 18889
    ③ 21259 ④ 23619
  10. 단상 반파정류회로에서 직류전압의 평균값 210 V를 얻는데 필요한 변압기 2차 전압의 실효값은 약 몇 V 인가? (단, 부하는 순 저항이고, 정류기의 전압강하 평균값은 15V로 한다.)
    ① 400 ② 433
    ③ 500 ④ 566
  11. 변압기유에 요구되는 특성으로 틀린 것은?
    ① 점도가 클 것 ② 응고점이 낮을 것
    ③ 인화점이 높을 것 ④ 절연 내력이 클 것
  12. 100kVA, 2300/115V, 철손 1kW, 전부하동손 1.25kW의 변압기가 있다. 이 변압기는 매일 무부하로 10시간, 1/2정격부하 역률 1에서 8시간, 전부하 역률 0.8(지상)에서 6시간 운전하고 있다면 전일효율은 약 몇 % 인가?
    ① 93.3 ② 94.3
    ③ 95.3 ④ 96.3
  13. 3상 유도전동기에서 고조과 회전자계가 기본파 회전방향과 역방향인 고조파는?
    ① 제3고조파 ② 제5고조파
    ③ 제7고조파 ④ 제13고조파
  14. 직류 분권전동기의 기동 시에 정격전압을 공급하면 전기자 전류가 많이 흐르다가 회전속도가 점점 증가함에 따라 전기자전류가 감소하는 원인은?
    ① 전기자반작용의 증가
    ② 전기자권선의 저항증가
    ③ 브러시의 접촉저항증가
    ④ 전동기의 역기전력상승
  15. 변압기의 전압변동률에 대한 설명으로 틀린 것은?
    ① 일반적으로 부하변동에 대하여 2차 단자전압의 변동이 작을수록 좋다.
    ② 전부하시와 무부하시의 2차 단자전압이 서로 다른 정도를 표시하는 것이다.
    ③ 인가전압이 일정한 상태에서 무부하 2차 단자전압에 반비례한다.
    ④ 전압변동률은 전등의 광도, 수명, 전동기의 출력 등에 영향을 미친다.
  16. 1상의 유도기전력이 6000 V인 동기발전기에서 1분간 회전수를 900rpm에서 1800rpm으로 하면 유도기전력은 약 몇 V 인가?
    ① 6000 ② 12000
    ③ 24000 ④ 36000
  17. 변압기 내부고장 검출을 위해 사용하는 계전기가 아닌 것은?
    ① 과전압 계전기 ② 비율차동 계전기
    ③ 부흐홀츠 계전기 ④ 충격 압력 계전기
  18. 권선형 유도전동기의 2차 여자법 중 2차 단자에서 나오는 전력을 동력으로 바꿔서 직류전동기에 가하는 방식은?
    ① 회생방식 ② 크레머방식
    ③ 플러깅방식 ④ 세르비우스방식
  19. 동기조상기의 구조상 특징으로 틀린 것은?
    ① 고정자는 수차발전기와 같다.
    ② 안전 운전용 제동권선이 설치된다.
    ③ 계자 코일이나 자극이 대단히 크다.
    ④ 전동기 축은 동력을 전달하는 관계로 비교적 굵다.
  20. 75W 이하의 소출력 단상 직권정류자 전동기의 용도로 적합하지 않은 것은?
    ① 믹서 ② 소형공구
    ③ 공작기계 ④ 치과의료용

4과목 : 회로이론 및 제어공학

  1. 그림의 제어시스템이 안정하기 위한 K의 범위는?
    ① 0<K<3 ② 0<K<4
    ③ 0<K<5 ④ 0<K<6
  2. 블록선도의 전달함수가 C(s)/R(s)=10과 같이 되기 위한 조건은?
  3. 주파수 전달함수가 G(jw)= 1/j100ω 인 제어시스템에서 ω=1.0rad/s 일 때의 이득(dB)과 위상각(°)은 각각 얼마인가?
    ① 20dB, 90° ② 40dB, 90°
    ③ -20dB, -90° ④ -40dB, -90°
  4. 개루프 전달함수가 다음과 같은 제어시스템의 근궤적이 jω(허수)축과 교차할 때 K는 얼마인가?
    ① 30 ② 48
    ③ 84 ④ 180
  5. 그림과 같은 신호흐름선도에서 C(s)/R(s) 는?
    ① -6/38 ② 6/38
    ③ -6/41 ④ 6/41
  6. 단위계단 함수 u(t)를 z 변환하면?
    ① 1/(z-1) ② z/(z-1)
    ③ 1/(Tz-1) ④ Tz/(Tz-1)
  7. 제어요소의 표준 형식인 적분요소에 대한 전달함수는? (단, K는 상수이다.)
    ① Ks ② K/s
    ③ K ④ K/(1+TS)
  8. 그림의 논리회로와 등가인 논리식은?
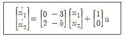
  9. 다음과 같은 상태방정식으로 표현되는 제어시스템에 대한 특성방정식의 근(s1, s2)은?
    ① 1, -3 ② -1, -2
    ③ -2, -3 ④ -1, -3
  10. 블록선도의 제어시스템은 단위 램프 입력에 대한 정상상태 오차(정상편차)가 0.01이다. 이 제어시스템의 제어요소인 GC1(s)의 k는?
    ① 0.1 ② 1
    ③ 10 ④ 100
  11. 평형 3상 부하에 선간전압의 크기가 200V인 평형 3상 전압을 인가했을 때 흐르는 선전류의 크기가 8.6A이고 무효전력이 1298var이었다. 이때 이 부하의 역률은 약 얼마인가?
    ① 0.6 ② 0.7
    ③ 0.8 ④ 0.9
  12. 단위 길이당 인덕턴스 및 커패시턴스가 각각 L 및 C일 때 전송선로의 특성 임피던스는? (단, 전송선로는 무손실 선로이다.)
  13. 각상의 전류가 ia(t)=90sinωt(A), ib(t)=90sin(ωt-90°)(A), ic(t)=90sin(ωt+90°)(A)일 때 영상분 전류(A)의 순시치는?
    ① 30cosωt ② 30sinωt
    ③ 90sinωt ④ 90cosωt
  14. 내부 임피던스가 0.3+j2(Ω)인 발전기에 임피던스가 1.1+j3(Ω)인 선로를 연결하여 어떤 부하에 전력을 공급하고 있다. 이 부하의 임피던스가 몇 일 때 발전기로부터 부하로 전달되는 전력이 최대가 되는가?
    ① 1.4-j5 ② 1.4+j5
    ③ 1.4 ④ j5
  15. 그림과 같은 파형의 라플라스 변환은?
  16. 어떤 회로에서 t=0초에 스위치를 닫은 후 i=2t+3t2(A)의 전류가 흘렀다. 30초까지 스위치를 통과한 총 전기량(Ah)은?
    ① 4.25 ② 6.75
    ③ 7.75 ④ 8.25
  17. 전압 v(t)를 RL 직렬회로에 인가했을 때 제3고조파 전류의 실효값(A)의 크기는? (단, R=8Ω, L=2Ω, v(t)=100√2sinωt+200√2sin3ωt+50√2sin5ωt(V) 이다.)
    ① 10 ② 14
    ③ 20 ④ 28
  18. 회로에서 t=0 초에 전압 v1(t)=e-4tV를 인가하였을 때 v2(t)는 몇 V인가? (단, R=2Ω, L=1H이다.)
    ① e-2t-e-4t ② 2e-2t-2e-4t
    ③ -2e-2t+2e-4t ④ -2e-2t-2e-4t
  19. 동일한 저항 R(Ω) 6개를 그림과 같이 결선하고 대칭 3상 전압 V(V)를 가하였을 때 전류 I(A)의 크기는?
    ① V/R ② V/2R
    ③ V/4R ④ V/5R
  20. 어떤 선형 회로망의 4단자 정수가 A=8, B=j2, D=1.625+j일 때, 이 회로망의 4단자 정수 C는?
    ① 24-j14 ② 8-j11.5
    ③ 4-j6 ④ 3-j4

5과목 : 전기설비기술기준 및 판단기준

  1. 저압 옥상전선로의 시설기준으로 틀린 것은?
    ① 전개된 장소에 위험의 우려가 없도록 시설할 것
    ② 전선은 지름 2.6mm 이상의 경동선을 사용할 것
    ③ 전선은 절연전선(옥외용 비닐절연전선은 제외)을 사용할 것
    ④ 전선은 상시 부는 바람 등에 의하여 식물에 접촉하지 아니하도록 시설하여야 한다.
  2. 이동형의 용접 전극을 사용하는 아크용접장치의 시설기준으로 틀린 것은?
    ① 용접변압기는 절연변압기일 것
    ② 용접변압기의 1차측 전로의 대지전압은 300V 이하일 것
    ③ 용접변압기의 2차측 전로에는 용접변압기에 가까운 곳에 쉽게 개폐할 수 있는 개폐기를 시설할 것
    ④ 용접변압기의 2차측 전로 중 용접변압기로부터 용접전극에 이르는 부분의 전로는 용접 시 흐르는 전류를 안전하게 통할 수 있는 것일 것
  3. 사용전압이 15kV 초과 25kV 이하인 특고압 가공전선로가 상호 간 접근 또는 교차하는 경우 사용전선이 양쪽 모두 나전선이라면 이격거리는 몇 m 이상이어야 하는가? (단, 중성선 다중접지 방식의 것으로서 전로에 지락이 생겼을 때에 2초 이내에 자동적으로 이를 전로로부터 차단하는 장치가 되어 있다.)
    ① 1.0 ② 1.2
    ③ 1.5 ④ 1.75
  4. 최대사용전압이 1차 22000V, 2차 6600V의 권선으로서 중성점 비접지식 전로에 접속하는 변압기의 특고압측 절연내력 시험전압은?
    ① 24000V ② 27500V
    ③ 33000V ④ 44000V
  5. 가공전선로의 지지물로 볼 수 없는 것은?
    ① 철주 ② 지선
    ③ 철탑 ④ 철근 콘크리트주
  6. 점멸기의 시설에서 센서등(타임스위치 포함)을 시설하여야 하는 곳은?
    ① 공장 ② 상점
    ③ 사무실 ④ 아파트 현관
  7. 순시조건(t≤0.5초)에서 교류 전기철도 급전시스템에서의 레일 전위의 최대 허용접촉전압(실효값)으로 옳은 것은?
    ① 60V ② 65V
    ③ 440V ④ 670V
  8. 전기저장장치의 이차전지에 자동으로 전로로부터 차단하는 장치를 시설하여야 하는 경우로 틀린 것은?
    ① 과저항이 발생한 경우
    ② 과전압이 발생한 경우
    ③ 제어장치에 이상이 발생한 경우
    ④ 이차전지 모듈의 내부 온도가 급격히 상승할 경우
  9. 뱅크용량이 몇 kVA 이상인 조상기에는 그 내부에 고장이 생긴 경우에 자동적으로 이를 전로로부터 차단하는 보호장치를 하여야 하는가?
    ① 10000 ② 15000
    ③ 20000 ④ 25000
  10. 전주외등의 시설 시 사용하는 공사방법으로 틀린 것은?
    ① 애자공사 ② 케이블공사
    ③ 금속관공사 ④ 합성수지관공사
  11. 농사용 저압 가공전선로의 지지점 간 거리는 몇 m 이하이어야 하는가?
    ① 30 ② 50
    ③ 60 ④ 100
  12. 특고압 가공전선로에서 발생하는 극저주파전계는 지표상 1m에서 몇 kV/m 이하이어야 하는가?
    ① 2.0 ② 2.5
    ③ 3.0 ④ 3.5
  13. 단면적 55mm2인 경동연선을 사용하는 특고압가공전선로의 지지물로 장력에 견디는 형태의 B종 철근 콘크리트주를 사용하는 경우, 허용 최대 경간은 몇 m 인가?
    ① 150 ② 250
    ③ 300 ④ 500
  14. 저압 옥측전선로에서 목조의 조영물에 시설할 수 있는 공사 방법은?
    ① 금속관공사
    ② 버스덕트공사
    ③ 합성수지관공사
    ④ 케이블공사(무기물절연(MI) 케이블을 사용하는 경우)
  15. 시가지에 시설하는 154kV 가공전선로를 도로와 제1차 접근상태로 시설하는 경우, 전선과 도로와의 이격거리는 몇 m 이상이어야 하는가?
    ① 4.4 ② 4.8
    ③ 5.2 ④ 5.6
  16. 귀선로에 대한 설명으로 틀린 것은?
    ① 나전선을 적용하여 가공식으로 가설을 원칙으로 한다.
    ② 사고 및 지락 시에도 충분한 허용전류용량을 갖도록 하여야 한다.
    ③ 비절연보호도체, 매설접지도체, 레일 등으로 구성하여 단권변압기 중성점과 공통접지에 접속한다.
    ④ 비절연보호도체의 위치는 통신유도장해 및 레일전위의 상승의 경감을 고려하여 결정하여야 한다.
  17. 변전소에 울타리·담 등을 시설할 때, 사용전압이 345kV이면 울타리·담 등의 높이와 울타리·담 등으로부터 충전부분까지의 거리의 합계는 몇 m 이상으로 하여야 하는가?
    ① 8.16 ② 8.28
    ③ 8.40 ④ 9.72
  18. 큰 고장전류가 구리 소재의 접지도체를 통하여 흐르지 않을 경우 접지도체의 최소단면적은 몇 mm2 이상이어야 하는가? (단, 접지도체에 피뢰시스템이 접속되지 않는 경우이다.)
    ① 0.75 ② 2.5
    ③ 6 ④ 16
  19. 전력보안 가공통신선을 횡단보도교 위에 시설하는 경우 그 노면상 높이는 몇 m 이상인가? (단, 가공전선로의 지지물에 시설하는 통신선 또는 이에 직접 접속하는 가공통신선은 제외한다.)
    ① 3 ② 4
    ③ 5 ④ 6
  20. 케이블트레이 공사에 사용할 수 없는 케이블은?
    ① 연피 케이블 ② 난연성 케이블
    ③ 캡타이어 케이블 ④ 알루미늄피 케이블

반응형

댓글