1. 0℃, 1기압에서 44.8m3의 용적을 가진 이산화탄소를 액화하여 얻을 수 있는 액화탄산 가스의 무게는 약 몇 kg인가?
① 88 ② 44
③ 22 ④ 11
2. 제거소화의 예에 해당하지 않는 것은?
① 밀폐 공간에서의 화재 시 공기를 제거한다.
② 가연성가스 화재 시 가스의 밸브를 닫는다.
③ 산림화재 시 확산을 막기 위하여 산림의 일부를 벌목한다.
④ 유류탱크 화재 시 연소되지 않은 기름을 다른 탱크로 이동시킨다.
3. 다음 중 소화에 필요한 이산화탄소 소화약제의 최소설계농도 값이 가장 높은 물질은?
① 메 탄 ② 에틸렌
③ 천연가스 ④ 아세틸렌
4. 인화알루미늄의 화재 시 주수소화하면 발생하는 물질은?
① 수 소 ② 메 탄
③ 포스핀 ④ 아세틸렌
5. 다음 물질의 저장창고에서 화재가 발생하였을 때 주수 소화를 할 수 없는 물질은?
① 부틸리튬 ② 질산에틸
③ 나이트로셀룰로스 ④ 적 린
6. 이산화탄소에 대한 설명으로 틀린 것은?
① 임계온도는 97.5℃이다.
② 고체의 형태로 존재할 수 있다.
③ 불연성가스로 공기보다 무겁다.
④ 드라이아이스와 분자식이 동일하다.
7. 실내 화재 시 발생한 연기로 인한 감광계수(m-1)와 가시거리에 대한 설명 중 틀린 것은?
① 감광계수가 0.1일 때 가시거리는 20~30m이다.
② 감광계수가 0.3일 때 가시거리는 15~20m이다.
③ 감광계수가 1.0일 때 가시거리는 1~2m이다.
④ 감광계수가 10일 때 가시거리는 0.2~0.5m이다.
8. 물질의 화재 위험성에 대한 설명으로 틀린 것은?
① 인화점 및 착화점이 낮을수록 위험
② 착화에너지가 작을수록 위험
③ 비점 및 융점이 높을수록 위험
④ 연소범위가 넓을수록 위험
9. 이산화탄소의 증기비중은 약 얼마인가? (단, 공기의 분자량은 29이다)
① 0.81 ② 1.52
③ 2.02 ④ 2.51
10. 위험물안전관리법령상 제2석유류에 해당하는 것으로만 나열된 것은?
① 아세톤, 벤젠 ② 중유, 아닐린
③ 에테르, 이황화탄소 ④ 아세트산, 아크릴산
11. 다음 중 연소범위를 근거로 계산한 위험도 값이 가장 큰 물질은?
① 이황화탄소 ② 메 탄
③ 수 소 ④ 일산화탄소
12. 가연물이 연소가 잘 되기 위한 구비조건으로 틀린 것은?
① 열전도율이 클 것
② 산소와 화학적으로 친화력이 클 것
③ 표면적이 클 것
④ 활성화 에너지가 작을 것
13. 유류탱크 화재 시 기름 표면에 물을 살수하면 기름이 탱크 밖으로 비산하여 화재가 확대되는 현상은?
① 슬롭 오버(Slop Over) ② 플래시 오버(Flash Over)
③ 프로스 오버(Froth Over) ④ 블레비(BLEVE)
14. 화재 시 나타나는 인간의 피난특성으로 볼 수 없는 것은?
① 어두운 곳으로 대피한다.
② 최초로 행동한 사람을 따른다.
③ 발화지점의 반대방향으로 이동한다.
④ 평소에 사용하던 문, 통로를 사용한다.
15. 종이, 나무, 섬유류 등에 의한 화재에 해당하는 것은?
① A급 화재 ② B급 화재
③ C급 화재 ④ D급 화재
16. NH4H2PO4를 주성분으로 한 분말소화약제는 제 몇 종 분말소화약제인가?
① 제1종 ② 제2종
③ 제3종 ④ 제4종
17. 다음 물질 중 연소하였을 때 시안화수소를 가장 많이 발생시키는 물질은?
① Polyethylene ② Polyurethane
③ Polyvinyl Chloride ④ Polystyrene
18. 산소의 농도를 낮추어 소화하는 방법은?
① 냉각소화 ② 질식소화
③ 제거소화 ④ 억제소화
19. 다음 중 상온 상압에서 액체인 것은?
① 탄산가스 ② 할론 1301
③ 할론 2402 ④ 할론 1211
20. 밀폐된 내화건물의 실내에 화재가 발생했을 때 그 실내의 환경변화에 대한 설명 중 틀린 것은?
① 기압이 급강하한다. ② 산소가 감소한다.
③ 일산화탄소가 증가한다. ④ 이산화탄소가 증가한다.
21. 비중이 0.8인 액체가 한 변이 10cm인 정육면체 모양 그릇의 반을 채울 때 액체의 질량(kg)은?
① 0.4 ② 0.8
③ 400 ④ 800
22. 펌프의 입구에서 진공계의 계기압력은 –160mmHg, 출구에서 압력계의 계기압력은 300kPa, 송출 유량은 10m3/min일 때 펌프의 수동력(kW)은? (단, 진공계와 압력계 사이의 수직거리는 2m이고, 흡입관과 송출관의 직경은 같으며, 손실은 무시한다)
① 5.7 ② 56.8
③ 557 ④ 3,400
23. 다음 (ㄱ), (ㄴ)에 알맞은 것은?

① (ㄱ) 운동, (ㄴ) 서징 ② (ㄱ) 운동, (ㄴ) 수격작용
③ (ㄱ) 위치, (ㄴ) 서징 ④ (ㄱ) 위치, (ㄴ) 수격작용
24. 과열증기의 대한 설명으로 틀린 것은?
① 과열증기의 압력은 해당온도에서의 포화압력보다 높다.
② 과열증기의 온도는 해당압력에서의 포화온도보다 높다.
③ 과열증기의 비체적은 해당온도에서의 포화증기의 비체적보다 크다.
④ 과열증기의 엔탈피는 해당압력에서의 포화증기의 엔탈피보다 크다.
25. 비중이 0.85이고 동점성계수가 3×10-4m2/s인 기름이 직경 10cm의 수평 원형 관 내에 20L/s으로 흐른다. 이 원형 관의 100m 길이에서의 수두손실(m)은? (단, 정상 비압축성 유동이다)
① 16.6 ② 25.0
③ 49.8 ④ 82.2
26. 그림과 같이 수족관에 직경 3m의 투시경이 설치되어있다. 이 투시경에 작용하는 힘(kN)은?

① 207.8 ② 123.9
③ 87.1 ④ 52.4
27. 점성에 관한 설명으로 틀린 것은?
① 액체의 점성은 분자 간 결합력에 관계된다.
② 기체의 점성은 분자 간 운동량 교환에 관계된다.
③ 온도가 증가하면 기체의 점성은 감소된다.
④ 온도가 증가하면 액체의 점성은 감소된다.
28. 240mmHg의 절대압력은 계기압력으로 약 몇 kPa인가? (단, 대기압은 760mmHg이고, 수은의 비중은 13.6이다)
① -32.0 ② 32.0
③ -69.3 ④ 69.3
29. 관의 길이가 l이고, 지름이 d, 관마찰계수가 f일 때, 총 손실수두 H(m)를 식으로 바르게 나타낸 것은? (단, 입구 손실계수가 0.5, 출구 손실계수가 1.0, 속도수두는 V2/2g이다.)

30. 회전속도 N(rpm)일 때 송출량 Q(m3/min), 전양정 H(m)인 원심펌프를 상사한 조건에서 회전속도를 1.4N(rpm)으로 바꾸어 작동할 때 (ㄱ)유량과 (ㄴ)전양정은?
① (ㄱ) 1.4Q , (ㄴ) 1.4H ② (ㄱ) 1.4Q, (ㄴ) 1.96H
③ (ㄱ) 1.96Q , (ㄴ) 1.4H ④ (ㄱ) 1.96Q, (ㄴ) 1.96H
31. 그림과 같이 길이 5m, 입구직경 (D1) 30cm, 출구직경 (D2) 16cm인 직관을 수평면과 30° 기울어지게 설치하였다. 입구에서 0.3m3/s로 유입되어 출구에서 대기중으로 분출된다면 입구에서의 압력(kPa)은? (단, 대기는 표준대기압 상태이고 마찰손실은 없다)

① 24.5 ② 102
③ 127 ④ 228
32. 다음 중 배관의 유량을 측정하는 계측 장치가 아닌 것은?
① 로터미터(Rotameter) ② 유동노즐(Flow Nozzel)
③ 마노미터(Manometer) ④ 오리피스(Orifice)
33. 지름 10cm의 호스에 출구 지름이 3cm인 노즐이 부착되어 있고, 1,500L/min의 물이 대기 중으로 뿜어져 나온다. 이때 4개의 플랜지 볼트를 사용하여 노즐을 호스에 부착하고 있다면 볼트 1개에 작용되는 힘의 크기(N)는? (단, 유동에서 마찰이 존재하지 않는다고 가정한다)
① 58.3 ② 899.4
③ 1,018.4 ④ 4,098.2
34. -10℃, 6기압의 이산화탄소 10kg이 분사노즐에서 1기압까지 가역 단열팽창 하였다면 팽창 후의 온도는 몇 ℃가 되겠는가? (단, 이산화탄소의 비열비는 1.289이다)
① -85 ② -97
③ -105 ④ -115
35. 다음 그림에서 A, B점의 압력차(kPa)는? (단, A는 비중 1의 물, B는 비중 0.899의 벤젠이다)

① 278.7 ② 191.4
③ 23.07 ④ 19.4
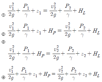
36. 펌프의 일과 손실을 고려할 때 베르누이 수정 방정식을 바르게 나타낸 것은? (단, HP와 HL은 펌프의 수두와 손실 수두를 나타내며, 하첨자 1, 2는 각각 펌프의 전후 위치를 나타낸다)

37. 그림과 같이 단면 A에서 정압이 500kPa이고 10m/s로 난류의 물이 흐르고 있을 때 단면 B에서의 유속(m/s)은?

① 20 ② 40
③ 60 ④ 80
38. 압력이 100kPa이고 온도가 20℃인 이산화탄소를 완전기체라고 가정할 때 밀도(kg/m3)는? (단, 이산화탄소의 기체상수는 188.95J/kgㆍK이다)
① 1.1 ② 1.8
③ 2.56 ④ 3.8
39. 온도차이가 △T, 열전도율이 k1, 두께 x인 벽을 통한 열유속(Heat Flux)과 온도차이가 2△T, 열전도율이 k2, 두께 0.5x인 벽을 통한 열유속이 서로 같다면 두 재질의 열전도율비 k1/k2의 값은?
① 1 ② 2
③ 4 ④ 8
40. 표준대기압 상태인 어떤 지방의 호수 밑 72.4m에 있던 공기의 기포가 수면으로 올라오면 기포의 부피는 최초 부피의 몇 배가 되는가? (단, 기포 내의 공기는 보일의 법칙을 따른다)
① 2 ② 4
③ 7 ④ 8
41. 소방시설공사업법령상 소방공사감리를 실시함에 있어 용도와 구조에서 특별히 안전성과 보안성이 요구되는 소방대상물로서 소방시설물에 대한 감리를 감리업자가 아닌 자가 감리할 수 있는 장소는?
① 정보기관의 청사
② 교도소 등 교정관련시설
③ 국방 관계시설 설치장소
④ 원자력안전법상 관계시설이 설치되는 장소
42. 소방시설공사업법령에 따른 소방시설업 등록이 가능한 사람은?
① 피성년후견인
② 위험물안전관리법에 따른 금고 이상의 형의 집행 유예를 선고받고 그 유예기간 중에 있는 사람
③ 등록하려는 소방시설업 등록이 취소된 날부터 3년이 지난 사람
④ 소방기본법에 따른 금고 이상의 실형을 선고받고 그 집행이 면제된 날부터 1년이 지난 사람
43. 소방기본법령상 소방업무 상호응원협정 체결 시 포함되어야 하는 사항이 아닌 것은?
① 응원출동의 요청방법
② 응원출동훈련 및 평가
③ 응원출동대상지역 및 규모
④ 응원출동 시 현장지휘에 관한 사항
44. 소방기본법령에 따른 소방용수시설 급수탑 개폐밸브의 설치기준으로 맞는 것은?
① 지상에서 1.0m 이상 1.5m 이하
② 지상에서 1.2m 이상 1.8m 이하
③ 지상에서 1.5m 이상 1.7m 이하
④ 지상에서 1.5m 이상 2.0m 이하
45. 소방기본법에 따라 화재 등 그 밖의 위급한 상황이 발생한 현장에서 소방활동을 위하여 필요한 때에는 그 관할구역에 사는 사람 또는 그 현장에 있는 사람으로 하여금 사람을 구출하는 일 또는 불을 끄는 등의 일을 하도록 명령할 수 있는 권한이 없는 사람은?
① 소방서장 ② 소방대장
③ 시ㆍ도지사 ④ 소방본부장
46. 화재예방, 소방시설 설치ㆍ유지 및 안전관리에 관한 법률상 소방용품의 형식승인을 받지 아니하고 소방용품을 제조하거나 수입한 자에 대한 벌칙 기준은?
① 100만원 이하의 벌금
② 300만원 이하의 벌금
③ 1년 이하의 징역 또는 1천만원 이하의 벌금
④ 3년 이하의 징역 또는 3천만원 이하의 벌금
47. 위험물안전관리법령에 따라 위험물안전관리자를 해임하거나 퇴직한 때에는 해임하거나 퇴직한 날부터 며칠 이내에 다시 안전관리자를 선임하여야 하는가?
① 30일 ② 35일
③ 40일 ④ 55일
48. 화재예방, 소방시설 설치ㆍ유지 및 안전관리에 관한 법률상 화재위험도가 낮은 특정소방대상물 중 소방대가 조직되어 24시간 근무하고 있는 청사 및 차고에 설치하지 아니할 수 있는 소방시설이 아닌 것은?
① 피난기구 ② 비상방송설비
③ 연결송수관설비 ④ 자동화재탐지설비
49. 소방기본법령상 불꽃을 사용하는 용접ㆍ용단 기구의 용접 또는 용단 작업장에서 지켜야 하는 사항 중 다음 ( ) 안에 알맞은 것은?

① ㉠ 3, ㉡ 5 ② ㉠ 5, ㉡ 3
③ ㉠ 5, ㉡ 10 ④ ㉠ 10, ㉡ 5
50. 다음 소방시설 중 경보설비가 아닌 것은?
① 통합감시시설 ② 가스누설경보기
③ 비상콘센트설비 ④ 자동화재속보설비
51. 화재예방, 소방시설 설치ㆍ유지 및 안전관리에 관한 법률상 소방안전관리대상물의 소방안전관리자의 업무가 아닌 것은?
① 소방시설 공사
② 소방훈련 및 교육
③ 소방계획서의 작성 및 시행
④ 자위소방대의 구성ㆍ운영ㆍ교육
52. 소방기본법령에 따라 주거지역ㆍ상업지역 및 공업지역에 소방용수시설을 설치하는 경우 소방대상물과의 수평거리를 몇 m 이하가 되도록 해야 하는가?
① 50 ② 100
③ 150 ④ 200
53. 위험물안전관리법령상 다음의 규정을 위반하여 위험물의 운송에 관한 기준을 따르지 아니한 자에 대한 과태료 기준은?

① 50만원 이하 ② 100만원 이하
③ 200만원 이하 ④ 300만원 이하
54. 화재예방, 소방시설 설치ㆍ유치 및 안전관리에 관한 법률상 소방시설 등에 대한 자체점검 중 종합정밀점검 대상인 것은?
① 제연설비가 설치되지 않은 터널
② 스프링클러설비가 설치된 연면적이 5,000m2이고 12층인 아파트
③ 물분무등소화설비가 설치된 연면적이 5,000m2인 위험물 제조소
④ 호스릴 방식의 물분무등소화설비만을 설치한 연면적 3,000m2인 특정소방대상물
55. 화재예방, 소방시설 설치ㆍ유지 및 안전관리에 관한 법률상 건축허가 등의 동의대상물이 아닌 것은?
① 항공기 격납고
② 연면적이 300m2인 공연장
③ 바닥면적이 300m2인 차고
④ 연면적이 300m2인 노유자 시설
56. 위험물안전관리법령상 제조소등의 경보설비 설치기준에 대한 설명으로 틀린 것은?
① 제조소 및 일반취급소의 연면적이 500m2 이상인것에는 자동화재탐지설비를 설치한다.
② 자동신호장치를 갖춘 스프링클러설비 또는 물분무등소화설비를 설치한 제조소등에 있어서는 자동화재탐지설비를 설치한 것으로 본다.
③ 경보설비는 자동화재탐지설비ㆍ비상경보설비(비상벨장치 또는 경종 포함)ㆍ확성장치(휴대용확성기 포함) 및 비상방송설비로 구분한다.
④ 지정수량의 10배 이상의 위험물을 저장 또는 취급하는 제조소등(이동탱크저장소를 포함한다)에는 화재발생 시 이를 알릴 수 있는 경보설비를 설치하여야 한다.
57. 소방기본법령상 정당한 사유 없이 화재의 예방조치에 관한 명령에 따르지 아니한 경우에 대한 벌칙은?
① 100만원 이하의 벌금 ② 200만원 이하의 벌금
③ 300만원 이하의 벌금 ④ 500만원 이하의 벌금
58. 화재예방, 소방시설 설치ㆍ유지 및 안전관리에 관한 법률상 방염성능기준 이상의 실내장식물 등을 설치해야 하는 특정소방대상물이 아닌 것은?
① 숙박이 가능한 수련시설
② 층수가 11층 이상인 아파트
③ 건축물 옥내에 있는 종교시설
④ 방송통신시설 중 방송국 및 촬영소
59. 소방시설공사업법령에 따른 소방시설업의 등록권자는?
① 국무총리 ② 소방서장
③ 시ㆍ도지사 ④ 한국소방안전협회장
60. 위험물안전관리법령상 정기검사를 받아야 하는 특정ㆍ준특정옥외탱크저장소의 관계인은 특정ㆍ준특정옥외탱크저장소의 설치허가에 따른 완공검사필증을 발급받은 날부터 몇 년 이내에 정기검사를 받아야 하는가?
① 9 ② 10
③ 11 ④ 12
61. 분말소화설비의 화재안전기준상 차고 또는 주차장에 설치하는 분말소화설비의 소화약제는?
① 인산염을 주성분으로 한 분말
② 탄산수소칼륨을 주성분으로 한 분말
③ 탄산수소칼륨과 요소가 화합된 분말
④ 탄산수소나트륨을 주성분으로 한 분말
62. 할론소화설비의 화재안전기준상 축압식 할론소화약제 저장용기에 사용되는 축압용가스로서 적합한 것은?
① 질 소 ② 산 소
③ 이산화탄소 ④ 불활성 가스
63. 물분무소화설비의 화재안전기준에 따른 물분무소화설비의 설치 장소별 1m2당 수원의 최소 저수량으로 맞는 것은?
① 차고 : 30L/min×20분×바닥면적
② 케이블트레이 : 12L/min×20분×투영된 바닥면적
③ 컨베이어 벨트 : 37L/min×20분×벨트부분의 바닥면적
④ 특수가연물을 취급하는 특정소방대상물 : 20L/min×20분×바닥면적
64. 화재예방, 소방시설 설치ㆍ유지 및 안전관리에 관한 법률상 자동소화장치를 모두 고른 것은?

① ㉠, ㉡ ② ㉡, ㉢, ㉣
③ ㉠, ㉢ ,㉤ ④ ㉠, ㉡, ㉢, ㉣, ㉤
65. 피난기구를 설치하여야 할 소방대상물 중 피난기구의 2분의 1을 감소할 수 있는 조건이 아닌 것은?
① 주요구조부가 내화구조로 되어 있다.
② 특별피난계단이 2 이상 설치되어 있다.
③ 소방구조용(비상용) 엘리베이터가 설치되어 있다.
④ 직통계단인 피난계단이 2 이상 설치되어 있다.
66. 소화수조 및 저수조의 화재안전기준에 따라 소화용수설비에 설치하는 채수구의 수는 소요수량이 40m3 이상 100m3 미만인 경우 몇 개를 설치해야 하는가?
① 1 ② 2
③ 3 ④ 4
67. 포소화설비의 화재안전기준에 따라 바닥면적이 180m2인 건축물 내부에 호스릴 방식의 포소화설비를 설치할 경우 가능한 포소화약제의 최소 필요량은 몇 L인가? (단, 호스 접결구 : 2개, 약제 농도 : 3%)
① 180 ② 270
③ 650 ④ 720
68. 소화수조 및 저수조의 화재안전기준에 따라 소화용수 설비를 설치하여야 할 특정소방대상물에 있어서 유수의 양이 최소 몇 m3/min 이상인 유수를 사용할 수 있는 경우에 소화수조를 설치하지 아니할 수 있는가?
① 0.8 ② 1
③ 1.5 ④ 2
69. 스프링클러설비의 화재안전기준에 따라 개방형스프링클러설비에서 하나의 방수구역을 담당하는 헤드 개수는 최대 몇 개 이하로 설치하여야 하는가?
① 30 ② 40
③ 50 ④ 60
70. 완강기의 형식승인 및 제품검사의 기술기준상 완강기의 최대사용하중은 최소 몇 N 이상의 하중이어야 하는가?
① 800 ② 1,000
③ 1,200 ④ 1,500
71. 옥외소화전설비의 화재안전기준에 따라 옥외소화전 배관은 특정소방대상물의 각 부분으로부터 하나의 호스접결구까지의 수평거리가 최대 몇 m 이하가 되도록 설치하여야 하는가?
① 25 ② 35
③ 40 ④ 50
72. 난방설비가 없는 교육장소에 비치하는 소화기로 가장 적합한 것은? (단, 교육장소의 겨울 최저온도는 –15℃ 이다)
① 화학포소화기 ② 기계포소화기
③ 산알칼리 소화기 ④ ABC 분말소화기
73. 스프링클러설비의 화재안전기준에 따라 연소할 우려가 있는 개구부에 드렌처설비를 설치한 경우 해당 개구부에 한하여 스프링클러헤드를 설치하지 아니할 수 있다. 관련 기준으로 틀린 것은?
① 드렌처헤드는 개구부 위 측에 2.5m 이내마다 1개를 설치할 것
② 제어밸브는 특정소방대상물 층마다에 바닥면으로부터 0.5m 이상 1.5m 이하의 위치에 설치할 것
③ 드렌처헤드가 가장 많이 설치된 제어밸브에 설치된 드렌처헤드를 동시에 사용하는 경우에 각 헤드 선단의 방수압력은 0.1MPa 이상이 되도록 할 것
④ 드렌처헤드가 가장 많이 설치된 제어밸브에 설치된 드렌처헤드를 동시에 사용하는 경우에 각 헤드선단의 방수량은 80L/min 이상이 되도록 할 것
74. 연결살수설비의 화재안전기준에 따른 건축물에 설치하는 연결살수설비의 헤드에 대한 기준 중 다음 ( ) 안에 알맞은 것은?

① ㉠ 3.7, ㉡ 2.3, ㉢ 2.1 ② ㉠ 3.7, ㉡ 2.3, ㉢ 2.3
③ ㉠ 2.3, ㉡ 3.7, ㉢ 2.3 ④ ㉠ 2.3, ㉡ 3.7, ㉢ 2.1
75. 분말소화설비의 화재안전기준에 따라 분말소화약제의 가압용가스 용기에는 최대 몇 MPa 이하의 압력에서 조정이 가능한 압력조정기를 설치하여야 하는가?
① 1.5 ② 2.0
③ 2.5 ④ 3.0
76. 포소화설비의 화재안전기준상 차고ㆍ주차장에 설치하는 포소화전설비의 설치 기준 중 다음 ( ) 안에 알맞은 것은? (단, 1개 층의 바닥면적이 200m2 이하인 경우는 제외한다)

① ㉠ 0.25, ㉡ 230 ② ㉠ 0.25, ㉡ 300
③ ㉠ 0.35, ㉡ 230 ④ ㉠ 0.35, ㉡ 300
77. 이산화탄소소화설비의 화재안전기준에 따른 이산화탄소소화설비 기동장치의 설치기준으로 맞는 것은?
① 가스압력식 기동장치 기동용가스용기의 용적은 3L 이상으로 한다.
② 수동식 기동장치는 전역방출방식에 있어서 방호대상물마다 설치한다.
③ 수동식 기동장치의 부근에는 소화약제의 방출을 지연시킬 수 있는 비상스위치를 설치해야 한다.
④ 전기식 기동장치로서 5병의 저장용기를 동시에 개방하는 설비는 2병 이상의 저장용기에 전자개방밸브를 부착해야 한다.
78. 물분무소화설비의 화재안전기준에 따른 물분무소화설비의 저수량에 대한 기준 중 다음 ( ) 안의 내용으로 맞는 것은?

① 4 ② 8
③ 10 ④ 12
79. 화재조기진압용 스프링클러설비의 화재안전기준상 화재조기진압용 스프링클러설비 설치 장소의 구조 기준으로 틀린 것은?
① 창고 내의 선반의 형태는 하부로 물이 침투되는 구조로 할 것
② 천장의 기울기가 1,000분의 168을 초과하지 않아야 하고, 이를 초과하는 경우에는 반자를 지면과 수평으로 설치할 것
③ 천장은 평평하여야 하며 철재나 목재트러스 구조인 경우, 철재나 목재의 돌출부분이 102mm를 초과하지 아니할 것
④ 해당 층의 높이가 10m 이하일 것. 다만, 3층 이상일 경우에는 해당 층의 바닥을 내화구조로 하고 다른 부분과 방화구획 할 것
80. 제연설비의 화재안전기준상 유입풍도 및 배출풍도에 관한 설명으로 맞는 것은?
① 유입풍도 안의 풍속은 25m/s 이하로 한다.
② 배출풍도는 석면재료와 같은 내열성의 단열재로 유효한 단열 처리를 한다.
③ 배출풍도와 유입풍도의 아연도금강판 최소 두께는 0.45mm 이상으로 하여야 한다.
④ 배출기 흡입측 풍도 안의 풍속은 15m/s 이하로 하고 배출측 풍속은 20m/s 이하로 한다.

문제가 이해되지 않거나 더많은 기출문제를 보고싶으면 책을 구매하시는게 더 좋습니다(추천 필기책)
파트너스 활동을 통해 일정액의 수수료를 제공받을 수 있음
※ 다른 기출문제 보러가기 ※
'기사 > 소방설비(기계)기사' 카테고리의 다른 글
| 2017 . 4회차 . 소방설비기사(기계) 필기 기출문제 (정답포함) (0) | 2020.11.09 |
|---|---|
| 2020 . 3회차 . 소방설비기사(기계) 필기 기출문제 (정답포함) (0) | 2020.09.26 |
| 2018 . 1회차 . 소방설비기사(기계) 필기 기출문제 (정답포함) (0) | 2020.06.13 |
| 2018 . 2회차 . 소방설비기사(기계) 필기 기출문제 (정답포함) (0) | 2020.06.12 |
| 2018 . 4회차 . 소방설비기사(기계) 필기 기출문제 (정답포함) (0) | 2020.06.12 |

![[성안당]소방설비기사 필기 기계1 12 세트 (초스피드 기억법+본문 및 과년도+요점노트2020), 성안당](https://static.coupangcdn.com/image/affiliate/banner/5839db2fcdb9b44123331dd66724b59a@2x.jpg)

댓글