1. 목재 화재 시 다량의 물을 뿌려 소화할 경우 기대되는 주된 소화효과는?
① 제거효과 ② 냉각효과
③ 부촉매효과 ④ 희석효과
2. 포소화약제 중 고팽창포로 사용할 수 있는 것은?
① 단백포 ② 불화단백포
③ 내알코올포 ④ 합성계면활성제포
3. FM200이라는 상품명을 가지며 오존파괴 지수(ODP)가 0인 할론 대체 소화약제는 무슨 계열인가?
① HFC 계열 ② HCFC 계열
③ FC 계열 ④ Blend 계열
4. 화재 시 소화에 관한 설명으로 틀린 것은?
① 내알코올포 소화약제는 수용성용제의 화재에 적합하다.
② 물은 불에 닿을 때 증발하면서 다량의 열을 흡수하여 소화한다.
③ 제3종 분말소화약제는 식용유화재에 적합하다.
④ 할로겐화합물 소화약제는 연쇄반응을 억제하여 소화한다.
5. 화재의 종류에 따른 분류가 틀린 것은?
① A 급 : 일반화재 ② B 급 : 유류화재
③ C 급 : 가스화재 ④ D급 : 금속화재
6. 휘발유의 위험성에 관한 설명으로 틀린 것은?
① 일반적인 고체 가연물에 비해 인화점이 낮다.
② 상온에서 가연성 증기가 발생한다.
③ 증기는 공기보다 무거워 낮은 곳에 체류한다.
④ 물보다 무거워 화재발생 시 물분무소화는 효과가 없다.
7. 질소 79.2vol.%, 산소 20.8vol.%로 이루어진 공기의 평균분자량은?
① 15.44 ② 20.21
③ 28.83 ④ 36.00
8. 고비점 유류의 탱크화재 시 열유층에 의해 탱크 아래의 물이 비등·팽창하여 유류를 탱크 외부로 분출시켜 화재를 확대시키는 현상은?
① 보일 오버(Boil over)
② 롤 오버 (Roll over)
③ 백 드래프트(Back draft)
④ 플래시 오버(Flash over)
9. 전기불꽃, 아크 등이 발생하는 부분을 기름 속에 넣어 폭발을 방지하는 방폭구조는?
① 내압방폭구조 ② 유입방폭구조
③ 안전증방폭구조 ④ 특수방폭구조
10. 할로겐원소의 소화효과가 큰 순서대로 배열된 것은?
① I >Br >Cl >F ② Br >I >F >Cl
③ Cl >F >I >Br ④ F >Cl >Br >I
11. 이산화탄소 20g은 몇 mol인가?
① 0.23 ② 0.45
③ 2.2 ④ 4.4
12. 공기 중에서 연소범위가 가장 넓은 물질은?
① 수소 ② 이황화탄소
③ 아세틸렌 ④ 에테르
13. 건축물에 설치하는 방화벽의 구조에 대한 기준 중 틀린 것은?
① 내화구조로서 홀로 설 수 있는 구조이어야 한다.
② 방화벽의 양쪽 끝은 지붕면으로부터 0.2m 이상 튀어 나오게 하여야 한다.
③ 방화벽의 위쪽 끝은 지붕면으로부터 0.5m 이상 튀어 나오게 하여야 한다.
④ 방화벽에 설치하는 출입문은 너비 및 높이가 각각 2.5m 이하인 갑종방화문을 설치하여야 한다.
14. 분말소화약제에 관한 설명 중 틀린 것은?
① 제1종 분말은 담홍색 또는 황색으로 착색되어 있다.
② 분말의 고화를 방지하기 위하여 실시콘 수지 등으로 방습처리 한다.
③ 일반화재에도 사용할 수 있는 분말소화약제는 제3종 분말이다.
④ 제2종 분말의 열분해식은 2KHCO3 → K2CO3+CO2+H2O이다.
15. 공기 중에서 자연발화 위험성이 높은 물질은?
① 벤젠 ② 톨루엔
③ 이황화탄소 ④ 트리 에틸알루미늄
16. 제3류 위험물로서 자연발화성만 있고 금수성이 없기 때문에 물속에 보관하는 물질은?
① 염소산암모늄 ② 황린
③ 칼륨 ④ 질산
17. 건물의 주요 구조부에 해당되지 않는 것은?
① 바닥 ② 천장
③ 기둥 ④ 주계단
18. 폭발의 형태 중 화학적 폭발이 아닌 것은?
① 분해폭발 ② 가스폭발
③ 수증기폭발 ④ 분진폭발
19. 연소확대 방지를 위한 방화구획과 관계없는 것은?
① 일반 승강기의 승강장 구획
② 층 또는 면적별 구획
③ 용도별 구획
④ 방화댐퍼
20. 피난층에 대한 정의로 옳은 것은?
① 지상으로 통하는 피난계단이 있는 층
② 비상용 승강기의 승강장이 있는 층
③ 비상용 출입구가 설치되어 있는 층
④ 직접 지상으로 통하는 출입구가 있는 층
|
2과목 : 소방전기회로 |
21. 그림과 같은 회로에서 a, b단자에 흐르는 전류 I가 인가전압 E와 동위상이 되었다. 이때 L 값은?

22. 그림과 같은 회로에서 단자 a, b 사이에 주파수 f(Hz)의 정현파 전압을 가했을 때 전류계 A1, A2의 값이 같았다. 이 경우 f, L, C 사이의 관계로 옳은 것은?

23. 추종제어에 대한 설명으로 가장 옳은 것은?
① 제 어량의 종류에 의 하여 분류한 자동제어의 일종
② 목표값이 시간에 따라 임의로 변하는 제어
③ 제어량이 공업 프로세스의 상태량일 경우의 제어
④ 정치제어의 일종으로 주로 유량, 위치, 주파수, 전압 등을 제어
24. 다음 그림과 같은 논리회로로 옳은 것은?

① OR회로 ② AND회로
③ NOT 회로 ④ NOR 회로
25. 진공 중에 놓인 5μC의 점전하에서 2m되는 점의 전계는 몇 V/m인가?
① 11.25×103 ② 16.25×103
③ 22.25×103 ④ 28.25×103
26. 전류 측정 범위를 확대시키기 위하여 전류계와 병렬로 연결해야만 되는 것은?
① 배율기 ② 분류기
③ 중계기 ④ CT
27. 100V, 500W의 전열선 2개를 같은 전압에서 직렬로 접속한 경우와 병렬로 접속한 경우의 전력은 각각 몇 W인가?
① 직렬 : 250, 병렬 : 500
② 직렬 : 250, 병렬 : 1000
③ 직렬 : 500, 병렬 : 500
④ 직렬 : 500, 병렬 : 1000
28. 정속도 운전의 직류발전기로 작은 전력의 변화를 큰 전력의 변화로 증폭하는 발전기는?
① 앰플리다인 ② 로젠베르그발전기
③ 솔레노이드 ④ 서보전동기
29. 전압 및 전류측정방법에 대한 설명 중 틀린 것은?
① 전압계를 저항 양단에 병렬로 접속한다.
② 전류계는 저항에 직렬로 접속한다.
③ 전압계의 측정범위를 확대하기 위하여 배율기는 전압계와 직렬로 접속한다.
④ 전류계의 측정범위를 확대하기 위하여 저항분류기는 전류계와 직렬로 접속한다.
30. 공진작용과 관계가 없는 것은?
① C급 증폭회로 ② 발진회로
③ LC 병렬회로 ④ 변조회로
31. 다음 그림과 같은 회로에서 전달함수로 옳은 것은?

① X(s)+Y(s) ② X(s)Y(s)
③ Y(s)/X(s) ④ X(s)/Y(s)
32. 0.5kVA의 수신기용 변압기가 있다. 변압기의 철손이 7.5W, 전부하동손이 16W이다. 화재가 발생하여 처음 2시간은 전부하 운전되고, 다음 2시간은 1/2의 부하가 걸렸다고 한다. 4시간에 걸친 전손실 전력량은 약 몇 Wh인가?
① 65 ② 70
③ 75 ④ 80
33. 지름 1.2m, 저항 7.6Ω의 동선에서 이 동선의 저항률을 0.0172Ω·m라고 하면 동선의 길이는 약 몇 m인가?
① 200 ② 300
③ 400 ④ 500
34. 제어 목표에 의한 분류 중 미지의 임의 시간적 변화를 하는 목표값에 제어량을 추종시키는 것을 목적으로 하는 제어법은?
① 정치 제어 ② 비율 제어
③ 추종 제어 ④ 프로그램 제어
35. 논리식 X= /(A*B) 와 같은 것은?

36. 다이오드를 여러 개 병렬로 접속하는 경우에 대한 설명으로 옳은 것은?
① 과전류로부터 보호할 수 있다.
② 과전압으로부터 보호할 수 있다.
③ 부하측의 맥동률을 감소시킬 수 있다.
④ 정류기의 역방향 전류를 감소시킬 수 있다.
37. 이상적인 트랜지스터의 a 값은? (단, α는 베이스접지 증폭기의 전류증폭율이다.)
① 0 ② 1
③ 100 ④ ∞
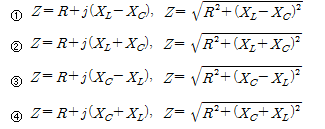
38. 저항이 R, 유도리액턴스가 Xʟ, 용량리액턴스가 Xc인 R-L-C 직렬회로에서의 Z와 Z값으로 옳은 것은?

39. 3상 유도전동기의 기동법이 아닌 것은?
① Y-△ 기동법 ② 기동 보상기법
③ 1차 저항 기동법 ④ 전전압 기동법
40. 조작기기는 직접 제어대상에 작용하는 장치이고 빠른 응답이 요구된다. 다음 중전기식 조작기기가 아닌 것은?
① 서보 전동기 ② 전동 밸브
③ 다이어프램 밸브 ④ 전자 밸브
|
3과목 : 소방관계법규 |
41. 위험물안전관리자로 선임할 수 있는 위험물 취급자격자가 취급할 수 있는 위험물 기준으로 틀린 것은?
① 위험물기능장 자격 취득자 : 모든 위험물
② 안전관리자 교육이수자 : 위험물 중 제4류 위험물
③ 소방공무원으로 근무한 경력이 3년 이상인 자 : 위험물 중 제4류 위험물
④ 위험물산업기사 자격 취득자 : 위험물 중 제4류 위험물
42. 소방용수시설의 설치기준 중 주거지역·상업지역 및 공업지역에 설치하는 경우 소방대상물과의 수평거리는 최대 몇 m 이하 인가?
① 50 ② 100
③ 150 ④ 200
43. 정기점검의 대상이 되는 제조소등이 아닌 것은?
① 옥내탱크저장소 ② 지하탱크저장소
③ 이동탱크저장소 ④ 이송취급소
44. 1급 소방안전관리대상물에 대한 기준이 아닌 것은? (단, 동·식물원, 철강 등 불연성 물품을 저장·취급하는 창고, 위험물 저장 및 처리 시설 중 위험물 제조소등, 지하구를 제외한 것이다.)
① 연면적 15000m2 이상인 특정소방대상물 (아파트는 제외)
② 150세대 이상으로서 승강기가 설치된 공동주택
③ 가연성가스를 1000톤 이상 저장·취급하는 시설
④ 30층 이상(지하층은 제외)이거나 지상으로부터 높이가 120m 이상인 아파트
45. 대통령령으로 정하는 특정소방대상물의 소방시설 중 내진설계 대상이 아닌 것은?
① 옥내소화전설비 ② 스프링클러설비
③ 물분무소화설비 ④ 연결살수설비
46. 건축물의 공사 현장에 설치하여야 하는 임시소방시설과 기능 및 성능이 유사하여 임시소방시설을 설치한 것으로 보는 소방시설로 연결이 틀린 것은? (단, 임시소방시설- 임시소방시설을 설치한 것으로 보는 소방시설 순이다.)
① 간이소화장치 - 옥내소화전
② 간이피난유도선 - 유도표지
③ 비상경보장치 - 비상방송설비
④ 비상경보장치 - 자동화재탐지설비
47. 행정안전부령으로 정하는 연소 우려가 있는 구조에 대한 기준 중 다음 ( ) 안에 알맞은 것은?

① ㉠ 3, ㉡ 5 ② ㉠ 5, ㉡ 8
③ ㉠ 6, ㉡ 8 ④ ㉠ 6, ㉡ 10
48. 특정소방대상물의 소방시설 설치의 면제기준 중 다음 ( ) 안에 알맞은 것은?

① 자동화재탐지설비 ② 스프링클러설비
③ 비상조명등 ④ 무선통신보조설비
49. 위험물로서 제1석유류에 속하는 것은?
① 중유 ② 휘발유
③ 실린더유 ④ 등유
50. 건축허가 등을 함에 있어서 미리 소방본부장 또는 소방서장의 동의를 받아야 하는 건축물 등의 범위기준이 아닌 것은?
① 노유자시설 및 수련시설로서 연면적 100m2 이상인 건축물
② 지하층 또는 무창층이 있는 건축물로서 바닥면적이 150m2 이상인 층이 있는 것
③ 차고·주차장으로 사용되는 바닥면적이 200m2 이상인 층이 있는 건축물이나 주차시설
④ 장애인 의료재활시설로서 연면적 300m2 이상인 건축물
51. 스프링클러설비가 설치된 소방시설 등의 자체점검에서 종합정밀점검을 받아야 하는 아파트의 기준으로 옳은 것은?
① 연면적이 3000m2 이상이고 층수가 11층 이상인 것만 해당
② 연면적이 3000m2 이상이고 층수가 16층 이상인 것만 해당
③ 연면적이 5000m2 이상이고 층수가 11층 이상인 것만 해당
④ 연면적이 5000m2 이상이고 층수가 16층 이상인 것만 해당
52. 방염성능기준 이상의 실내장식물 등을 설치해야 하는 특정소방대상물이 아닌 것은?
① 건축물 옥내에 있는 종교시설
② 방송통신시설 중 방송국 및 촬영소
③ 층수가 11층 이상인 아파트
④ 숙박이 가능한 수련시설
53. 화재의 예방조치 등과 관련하여 불장난, 모닥불, 흡연, 화기 취급, 그 밖에 화재예방상 위험하다고 인정되는 행위의 금지 또는 제한의 명령을 할 수 있는 자는?
① 시·도지사 ② 국무총리
③ 소방청장 ④ 소방본부장
54. 2급 소방안전관리대상물의 소방안전관리자 선임 기준으로 틀린 것은?
① 전기공사산업기사 자격을 가진 자
② 소방공무원으로 3년 이상 근무한 경력이 있는지
③ 의용소방대원으로 2년 이상 근무한 경력이 있는 자
④ 위험물산업기사 자격을 가진 자
55. 경보설비 중 단독경보형 감지기를 설치해야 하는 특정소방대상물의 기준으로 틀린 것은?
① 연면적 600m2 미만의 숙박시설
② 연면 적 1000m2 미만의 아파트 등
③ 연면적 1000m2 미만의 기숙사
④ 교육연구시설 내에 있는 연면적 3000m2 미만의 합숙소
56. 다음 중 과태료 대상이 아닌 것은?
① 소방안전관리대상물의 소방안전관리자를 선임하지 아니한 자
② 소방안전관리 업무를 수행하지 아니한 자
③ 특정소방대상물의 근무자 및 거주자에 대한 소방훈련 및 교육을 하지 아니한 자
④ 특정소방대상물 소방시설 등의 점검결과를 보고하지 아니한 자
57. 시·도지사가 소방시설업의 영업정지처분에 갈음하여 부과할 수 있는 최대 과징금의 범위로 옳은 것은?
① 1000만 원 이하 ② 2000만 원 이하
③ 3000만 원 이하 ④ 5000만 원 이하
58. 화재경계지구의 지정대상이 아닌 것은?
① 공장·창고가 밀집한 지역
② 목조건물이 밀집한 지역
③ 농촌지역
④ 시장지역
59. 소방시설업의 반드시 등록 취소에 해당하는 경우는?
① 거짓이나 그 밖의 부정한 방법으로 등록한 경우
② 다른 자에게 등록증 또는 등록수첩을 빌려준 경우
③ 소속 소방기술자를 공사현장에 배치하지 아니하거나 거짓으로 한 경우
④ 등록을 한 후 정당한 사유 없이 1년이 지날 때까지 영업을 시작하지 아니하거나 계속하여 1년 이상 휴업한 경우
60. 자동화재탐지설비의 일반 공사감리기간으로 포함시켜 산정할 수 있는 항목은?
① 고정금속구를 설치하는 기간
② 전선관의 매립을 하는 공사기간
③ 공기유입구의 설치기간
④ 소화약제 저장용기 설치기간
|
4과목 : 소방전기시설의 구조 및 원리 |
61. 자동화재속보설비를 설치하여야 하는 특정소방 대상물의 기준 중 다음 ( ) 안에 알맞은 것은?

① 300 ② 500
③ 1000 ④ 1500
62. 무선통신보조설비 무선기기 접속단자의 설치기준 중 다음 ( ) 안에 알맞은 것은?

① ㉠ 500, ㉡ 5 ② ㉠ 500, ㉡ 3
③ ㉠ 300, ㉡ 5 ④ ㉠ 300, ㉡ 3
63. 객석유도등을 설치하여야 하는 특정소방 대상물의 대상으로 옳은 것은?
① 운수시설 ② 운동시설
③ 의료시설 ④ 근린생활시설
64. 누전경보기의 구성요소에 해당하지 않는 것은?
① 차단기 ② 영상변류기(ZCT)
③ 음향장치 ④ 발신기
65. 자동화재탐지설비 수신기의 설치기준 중 다음 ( ) 안에 알맞은 것은?

① 2 ② 4
③ 6 ④ 11
66. 피난기구 용어의 정의 중 다음 ( ) 안에 알맞은 것은?

① 간이완강기 ② 공기안전매트
③ 완강기 ④ 승강식 피난기
67. 무선통신보조설비를 설치하여야 하는 특정소방 대상물의 기준 중 옳은 것은? (단, 위험물 저장 및 처리 시설 중 가스시설은 제외한다.)
① 지하가(터널은 제외)로서 연면적 500m2 이상인 것
② 지하가 중 터널로서 길이가 1000m 이상인 것
③ 층수가 30층 이상인 것으로서 15층 이상 부분의 모든 층
④ 지하층의 층수가 3층 이상이고 지하층의 바닥면적의 합계가 1000m2 이상인 것은 지하층의 모든 층
68. 피난기구의 종류가 아닌 것은?
① 미끄럼대 ② 공기호흡기
③ 승강식피난기 ④ 공기안전매트
69. 누전경보기의 전원은 배선용 차단기에 있어서는 몇 A 이하의 것으로 각 극을 개폐할 수 있는 것을 설치하여야 하는가?
① 10 ② 15
③ 20 ④ 30
70. 자동화재탐지설비 배선의 설치기준 중 틀린 것은?
① 감지기 사이의 회로의 배선은 송배전식으로 할 것
② 감지기회로의 도통시험을 위한 종단저항은 전용함을 설치하는 경우 그 설치 높이는 바닥으로부터 1.5m 이내로 할 것
③ 감지기회로 및 부속회로의 전로와 대지 사이 및 배선 상호간의 절연저항은 1경계구역마다 직류 250V의 절연저항측정기를 사용하여 측정한 절연저항이 0.1MΩ 이상이 되도록 할 것
④ 피(P) 형 수신기 및 지피(G.P.)형 수신기의 감지기 회로의 배선에 있어서 하나의 공통선에 접속할 수 있는 경계구역은 9개 이하로 할 것
71. 비상경보설비를 설치하여야 할 특정소방 대상물의 기준 중 옳은 것은? (단, 지하구, 모래·석재 등 불연재료 창고 및 위험물 저장·처리 시설 중 가스시설은 제외한다.)
① 지하층 또는 무창층의 바닥면적이 150m2 (공연장의 경우 100m2) 이상인 것
② 연면적 500m2(지하가 중 터널 또는 사람이 거주하지 않거나 벽이 없는 축사 등 동·식물 관련시설은 제외) 이상인 것
③ 30명 이상의 근로자가 작업하는 옥내 작업장
④ 지하가 중 터널로서 길이가 1000m 이상인 것
72. 단독경보형감지 기를 설치하여 야 하는 특정소방 대상물의 기준 중 옳은 것은?
① 연면 적 1000m2 미만의 아파트 등
② 연면 적 2000m2 미만의 기숙사
③ 교육연구시설 또는 수련시설 내에 있는 합숙소 또는 기숙사로서 연면적 1000m2 미만인 것
④ 연면적 1000m2 미만의 숙박시설
73. 비상방송설비의 설치기준 중 기동장치에 따른 화재신고를 수신한 후 필요한 음량으로 화재 발생 상황 및 피난에 유효한 방송이 자동으로 개시될 때까지의 소요시간은 몇 초 이하로 하여야 하는가?
① 10 ② 15
③ 20 ④ 25
74. 비상방송설비를 설치하여야 하는 특정소방 대상물의 기준 중 틀린 것은? (단, 위험물 저장 및 처리 시설 중 가스시설, 사람이 거주하지 않는 동물 및 식물 관련 시설, 지하가 중 터널, 축사 및 지하구는 제외한다.)
① 연면적 3500m2 이상인 것
② 지하층을 제외한 층수가 11층 이상인 것
③ 지하층의 층수가 3층 이상인 것
④ 50명 이상의 근로자가 작업하는 옥내 작업장
75. 지하층·무창층 등으로서 환기가 잘되지 아니하거나 실내면적 이 40m2 미만인 장소에 설치하여야 하는 적응성이 있는 감지기가 아닌 것은?
① 정온식스포트형감지기
② 불꽃감지기
③ 광전식분리형감지기
④ 아날로그방식의 감지기
76. 단독경보형감지기의 설치기준 중 다음 ( ) 안에 알맞은 것은?

① 30 ② 50
③ 100 ④ 150
77. 비상콘센트설비의 전원부와 외함사이의 절연저항은 전원부와 외함사이를 500V 절연저항계로 측정할 때 몇 MΩ 이상이어야 하는가?
① 10 ② 15
③ 20 ④ 25
78. 비상콘센트설비를 설치하여야 하는 특정소방 대상물의 기준으로 옳은 것은? (단, 위험물 저장 및 처리시설 중 가스시설 또는 지하구는 제외한다.)
① 지하가(터널은 제외)로서 연면적 1000m2 이상인 것
② 층수가 11층 이상인 특정소방대상물의 경우에는 11층 이상의 층
③ 지하층의 층수가 3층 이상이고 지하층의 바닥면적의 합계가 1500m2 이상인 것은 지하층의 모든 층
④ 창고시설 중 물류터미널로서 해당 용도로 사용되는 부분의 바닥면적의 합계가 1000m 이상인 것
79. 비상조명등의 설치제외 기준 중 다음 ( ) 안에 알맞은 것은?

① 2 ② 5
③ 15 ④ 25
80. 자동화재탐지설비 수신기의 구조기준 중 정격전압이 몇 V를 넘는 기구의 금속제 외함에는 접지단자를 설치하여야 하는가?
① 30 ② 60
③ 100 ④ 300

문제가 이해되지 않거나 더많은 기출문제를 보고싶으면 책을 구매하시는게 더 좋습니다(추천 필기책)
파트너스 활동을 통해 일정액의 수수료를 제공받을 수 있음
'기사 > 소방설비(전기)기사' 카테고리의 다른 글
| 2017 . 1회차 . 소방설비기사(전기) 필기 기출문제 (정답포함) (0) | 2020.12.02 |
|---|---|
| 2017 . 2회차 . 소방설비기사(전기) 필기 기출문제 (정답포함) (0) | 2020.11.29 |
| 2020 . 3회차 . 소방설비기사(전기) 필기 기출문제 (정답포함) (0) | 2020.09.28 |
| 2020 . 1회차 . 소방설비기사(전기) 필기 기출문제 (정답포함) (0) | 2020.08.19 |
| 2018 . 1회차 . 소방설비기사(전기) 필기 기출문제 (정답포함) (0) | 2020.06.23 |
![[성안당]2020 초스피드 기억법+본문 및 과년도+요점노트 소방설비기사 필기 전기1 - 근 개정법령 반영 100% 상세한 해설 요점노트 해설가리개 제공, 성안당](https://static.coupangcdn.com/image/affiliate/banner/e84991e994b9648a5acb6e1034ad8040@2x.jpg)


댓글